资料中包含下列文件,点击文件名可预览资料内容
还剩5页未读,
继续阅读
2020河南省中原名校高二下学期质量检测(4月)数学(理)试题PDF版含答案
展开
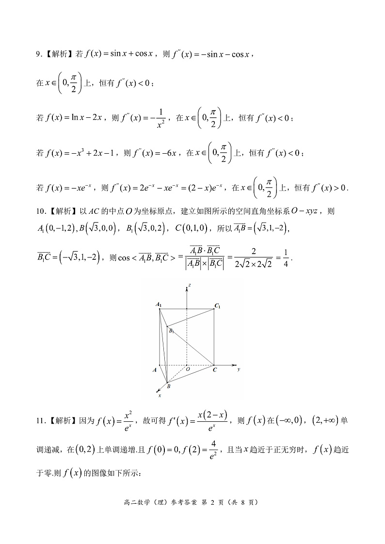
这是一份2020河南省中原名校高二下学期质量检测(4月)数学(理)试题PDF版含答案
相关试卷
2021河南省豫北名校高二上学期10月质量检测数学(理)试题扫描版含答案:
这是一份2021河南省豫北名校高二上学期10月质量检测数学(理)试题扫描版含答案
2020河南省中原名校高三上学期期末联考数学(理)试题(含部分答案)PDF版含答案:
这是一份2020河南省中原名校高三上学期期末联考数学(理)试题(含部分答案)PDF版含答案
2020中原金科大联考高三4月质量检测数学(理)试题扫描版含答案:
这是一份2020中原金科大联考高三4月质量检测数学(理)试题扫描版含答案

