资料中包含下列文件,点击文件名可预览资料内容
还剩3页未读,
继续阅读
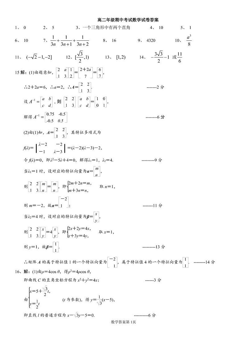
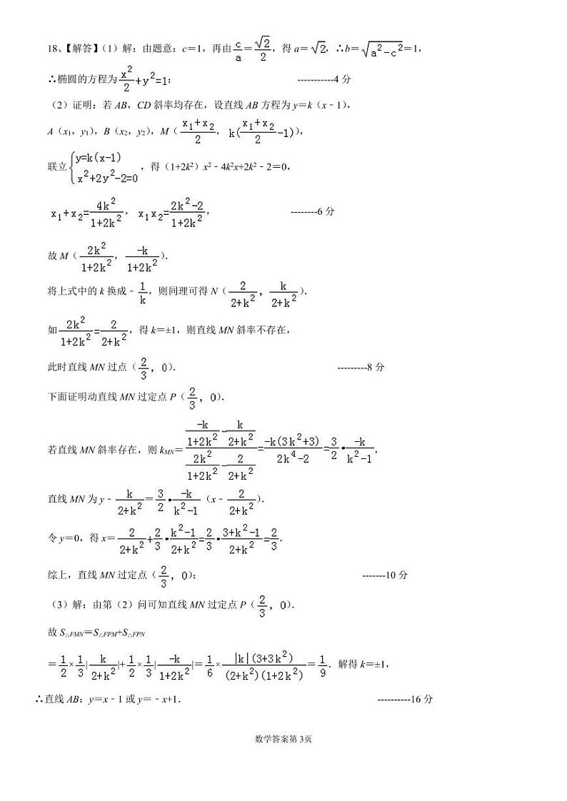
2019江苏省南菁高级中学高二下学期期中考试数学(理)试题PDF版含答案
展开
这是一份2019江苏省南菁高级中学高二下学期期中考试数学(理)试题PDF版含答案
相关试卷
2023-2024学年江苏省无锡市南菁高级中学高二上学期10月月考数学试题含答案:
这是一份2023-2024学年江苏省无锡市南菁高级中学高二上学期10月月考数学试题含答案,共19页。试卷主要包含了单选题,多选题,填空题,解答题等内容,欢迎下载使用。
2024江苏省南菁高级中学高一上学期9月阶段性检测数学含答案:
这是一份2024江苏省南菁高级中学高一上学期9月阶段性检测数学含答案,共8页。试卷主要包含了单项选择题,多项选择题,填空题,解答题等内容,欢迎下载使用。
江苏省南菁高级中学2023-2024学年高二上学期9月调研考试数学试卷(含答案):
这是一份江苏省南菁高级中学2023-2024学年高二上学期9月调研考试数学试卷(含答案),共11页。试卷主要包含了单项选择题,多项选择题,填空题,解答题等内容,欢迎下载使用。

