




2020山西大学附中高二下学期5月月考试题数学(理)含答案
展开
这是一份2020山西大学附中高二下学期5月月考试题数学(理)含答案
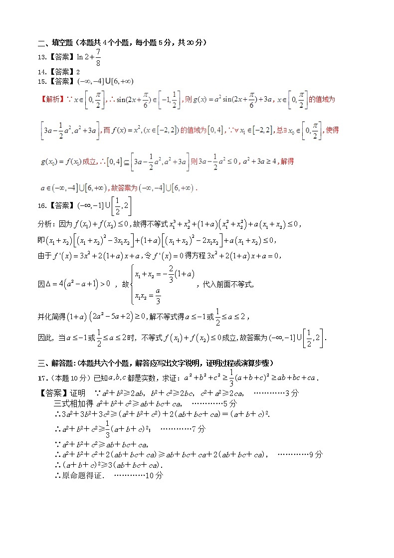
山西大学附中2019—2020学年第二学期高二年级5月模块诊断数学试题答案一、选择题:(本题共12小题,每小题5分,共60分。每题的四个选项中只有一个选项是正确的)1.【答案】C 2.【答案】B 3.【答案】D 4.【答案】D 5.【答案】D6.【答案】D 7.【答案】B 8.【答案】C 9.【答案】C10.【答案】A11.【答案】A 12. 【答案】B【解析】因为为偶函数,所以,,构造函数,,所以函数是R上的减函数.根据题意:,因为所以,解之得,.填空题(本题共4个小题,每小题5分,共20分)13.【答案】14.【答案】215.【答案】16.【答案】分析:因为,故得不等式,即,由于,令得方程,因 , 故,代入前面不等式,并化简得,解不等式得或,因此, 当或时, 不等式成立,故答案为. 三、解答题:(本题共六个小题,解答应写出文字说明,证明过程或演算步骤)17.(本题10分)已知都是实数,求证:.【答案】证明 ∵a2+b2≥2ab,b2+c2≥2bc,c2+a2≥2ca, …………3分三式相加得a2+b2+c2≥ab+bc+ca, …………5分∴3a2+3b2+3c2≥(a2+b2+c2)+2(ab+bc+ca)=(a+b+c)2.∴a2+b2+c2≥eq \f(1,3)(a+b+c)2; …………7分∵a2+b2+c2≥ab+bc+ca,∴a2+b2+c2+2(ab+bc+ca)≥ab+bc+ca+2(ab+bc+ca), …………9分∴(a+b+c)2≥3(ab+bc+ca).∴原命题得证. …………10分18.(本题12分)在极坐标系中,已知曲线,过极点作射线与曲线交于点,在射线上取一点,使.(1)求点的轨迹的极坐标方程;(2)以极点为直角坐标系的原点,极轴为轴的正半轴,建立直角坐标系,若直线与(1)中的曲线相交于点(异于点),与曲线(为参数)相交于点,求的值.19. (本题12分)设函数 SKIPIF 1 < 0 ,曲线 SKIPIF 1 < 0 在点 SKIPIF 1 < 0 处的切线方程为 SKIPIF 1 < 0 ,(Ⅰ)求 SKIPIF 1 < 0 , SKIPIF 1 < 0 的值;(Ⅱ)求 SKIPIF 1 < 0 的单调区间.20.(本题12分)在直角坐标系中,直线(为参数,),在以为极点,轴正半轴为极轴的极坐标系中,曲线.(Ⅰ)求曲线的直角坐标方程;(Ⅱ)已知点,若直线与曲线交于两点,且,求.【答案】(Ⅰ),得到,因为则曲线的直角坐标方程为.(Ⅱ)将代入,得到.又因为,则,所以解得:,或,则或.21.(本题12分)已知函数.(Ⅰ)若,求函数的极值;(Ⅱ)若,记为的从小到大的第个极值点,证明:.【答案】 (2)∵为的从小到大的第()个极值点,又令,,则,,∴ ,,, ∴ .22.(本题12分)已知函数.(1)若,求函数的单调递增区间;(2)若, ,证明: .【答案】(2),则, ,欲证,即证在上单调递减,∵,令,则∴在上为减函数,而∴,则,∴在上单调递减,又,∴.
相关试卷
这是一份2020山西大学附中高一下学期5月月考试题数学含答案,文件包含山西大学附中20192020学年高一年级第二学期5月月考数学试题docx、山西大学附中20192020学年高一年级第二学期5月月考数学试题评分细则docx等2份试卷配套教学资源,其中试卷共11页, 欢迎下载使用。
这是一份2020山西大学附中高二上学期12月月考试题数学(理)含答案
这是一份2020山西大学附中高二上学期12月月考试题数学(文)含答案