资料中包含下列文件,点击文件名可预览资料内容





还剩3页未读,
继续阅读
2020江西省会昌中学高三下学期第一次线上月考数学(文)试题扫描版含答案
展开
这是一份2020江西省会昌中学高三下学期第一次线上月考数学(文)试题扫描版含答案
相关试卷
2020江西省靖安中学高二4月线上考试数学(文)试题含答案:
这是一份2020江西省靖安中学高二4月线上考试数学(文)试题含答案
2020赣州会昌县会昌中学高二下学期开学考试数学(文)试题PDF版含答案:
这是一份2020赣州会昌县会昌中学高二下学期开学考试数学(文)试题PDF版含答案
2020漳州高三2月(线上)适应性测试数学(文)试题扫描版含答案:
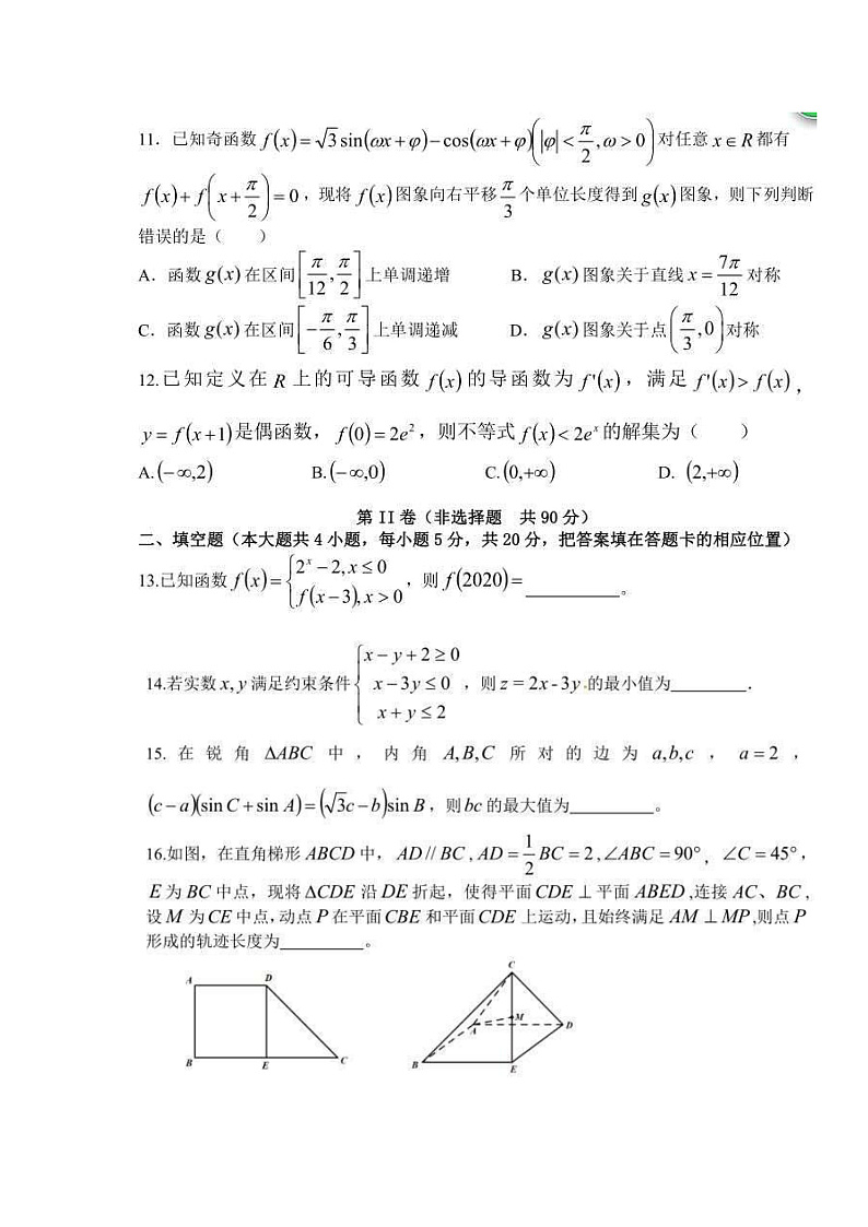
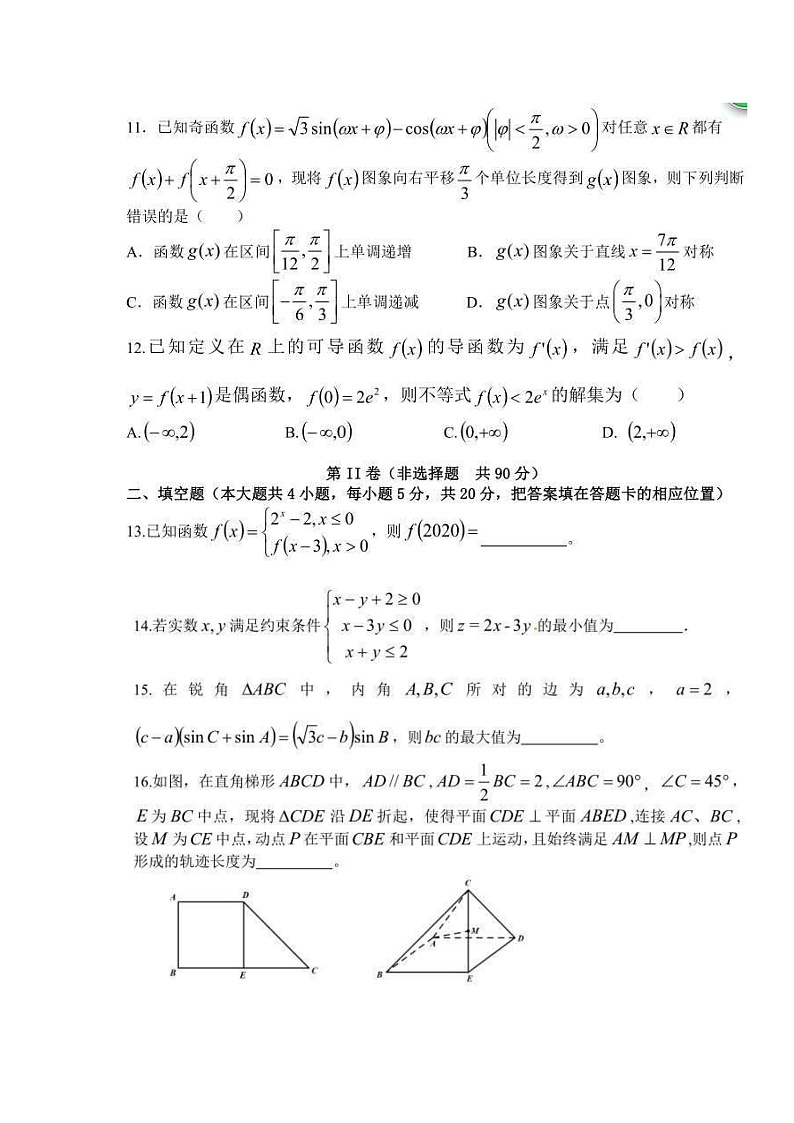
这是一份2020漳州高三2月(线上)适应性测试数学(文)试题扫描版含答案