资料中包含下列文件,点击文件名可预览资料内容
还剩2页未读,
继续阅读
2020南昌四校联盟高三第二次联考数学(理)试题PDF版含解析
展开
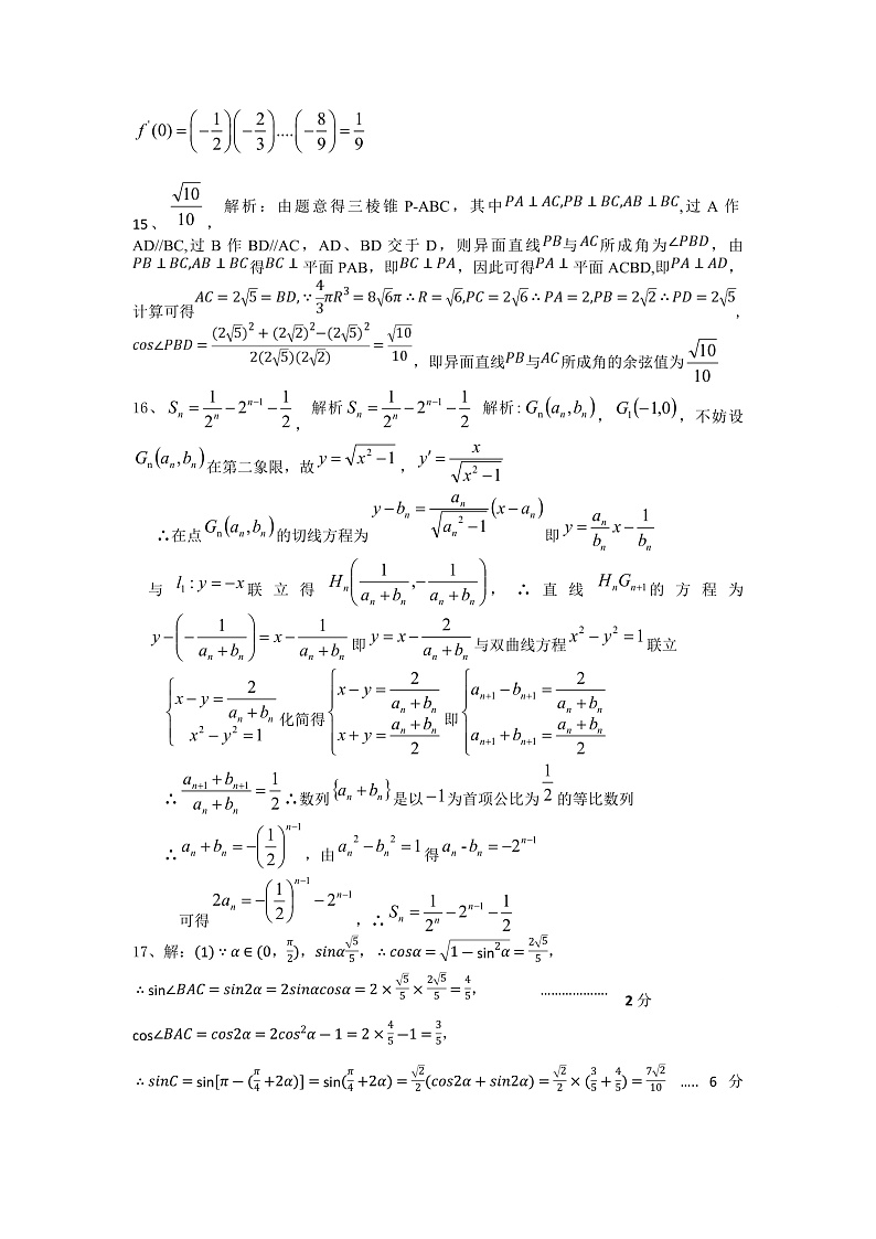
这是一份2020南昌四校联盟高三第二次联考数学(理)试题PDF版含解析
相关试卷
2020湖南省天壹名校联盟高三12月大联考数学(理)试题PDF版含解析:
这是一份2020湖南省天壹名校联盟高三12月大联考数学(理)试题PDF版含解析,文件包含理科数学参考答案pdf、理科数学试卷pdf、理科数学答题卡pdf等3份试卷配套教学资源,其中试卷共11页, 欢迎下载使用。
2020全国大联考高三2月联考数学(理)试题PDF版含解析:
这是一份2020全国大联考高三2月联考数学(理)试题PDF版含解析
2020九师联盟3月高三在线公益联考数学(理)试题PDF版含解析:
这是一份2020九师联盟3月高三在线公益联考数学(理)试题PDF版含解析

