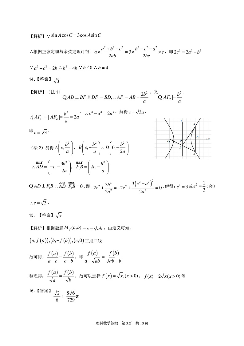
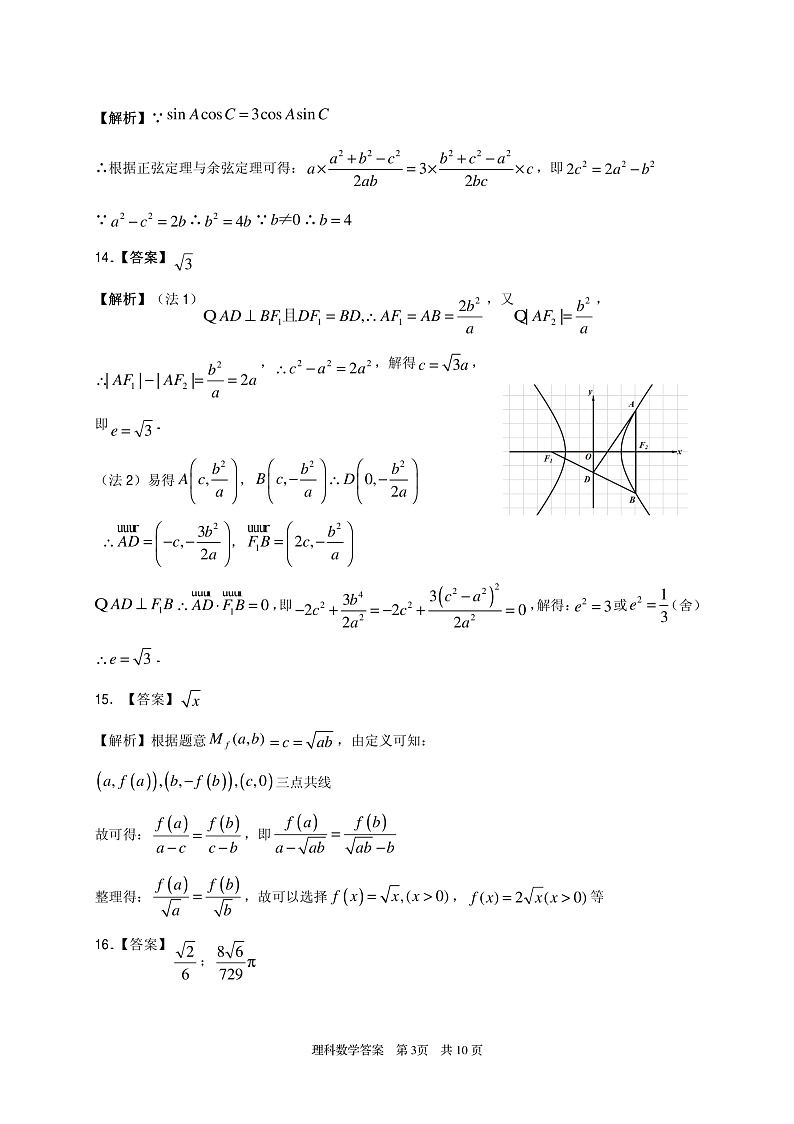
资料中包含下列文件,点击文件名可预览资料内容






还剩3页未读,
继续阅读
2020岳阳高三教学质量检测(二)数学(理)试题PDF版含解析
展开
这是一份2020岳阳高三教学质量检测(二)数学(理)试题PDF版含解析
相关试卷
2020深圳高三上学期第二次教学质量检测数学(理)试题PDF版含解析:
这是一份2020深圳高三上学期第二次教学质量检测数学(理)试题PDF版含解析
2020陕西省高三4月教学质量检测卷(二)数学(理)试题PDF版含解析:
这是一份2020陕西省高三4月教学质量检测卷(二)数学(理)试题PDF版含解析
2020陕西省高三4月教学质量检测卷(二)数学(理)试题含解析:
这是一份2020陕西省高三4月教学质量检测卷(二)数学(理)试题含解析