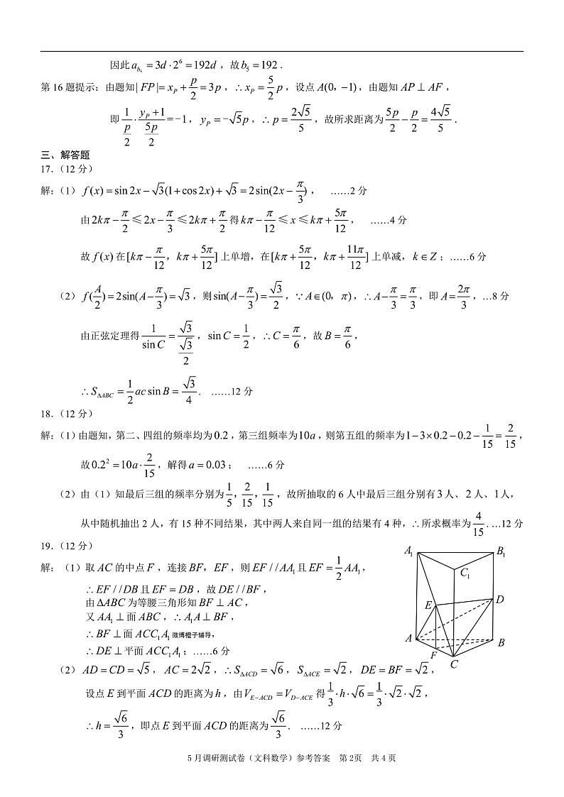
资料中包含下列文件,点击文件名可预览资料内容



还剩1页未读,
继续阅读
2020重庆市高三“二诊”考试数学(文)试题PDF版含答案
展开
这是一份2020重庆市高三“二诊”考试数学(文)试题PDF版含答案
相关试卷
2020德阳高三(高中级)“二诊”考试数学(理)试题PDF版含答案:
这是一份2020德阳高三(高中级)“二诊”考试数学(理)试题PDF版含答案
2020德阳高三(高中级)“二诊”考试数学(文)试题PDF版含答案:
这是一份2020德阳高三(高中级)“二诊”考试数学(文)试题PDF版含答案
2020重庆市高三“二诊”考试数学(理)试题PDF版含答案:
这是一份2020重庆市高三“二诊”考试数学(理)试题PDF版含答案