资料中包含下列文件,点击文件名可预览资料内容




还剩2页未读,
继续阅读
2020省大庆实验中学高三综合训练(二)数学(文)试题PDF版含答案
展开
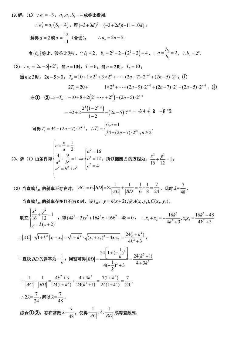
这是一份2020省大庆实验中学高三综合训练(二)数学(文)试题PDF版含答案,文件包含黑龙江省大庆实验中学2020届高三综合训练二数学文答案pdf、黑龙江省大庆实验中学2020届高三综合训练二数学文试题pdf等2份试卷配套教学资源,其中试卷共8页, 欢迎下载使用。
相关试卷
2020省大庆实验中学高三5月综合训练(一)数学(理)试题PDF版含答案:
这是一份2020省大庆实验中学高三5月综合训练(一)数学(理)试题PDF版含答案
2020省大庆实验中学高三5月综合训练(一)数学(文)试题PDF版含答案:
这是一份2020省大庆实验中学高三5月综合训练(一)数学(文)试题PDF版含答案
2020省大庆实验中学高三综合训练(三)数学(文)试题PDF版含答案:
这是一份2020省大庆实验中学高三综合训练(三)数学(文)试题PDF版含答案