



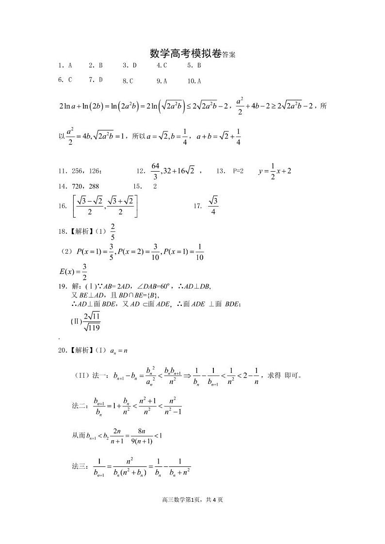
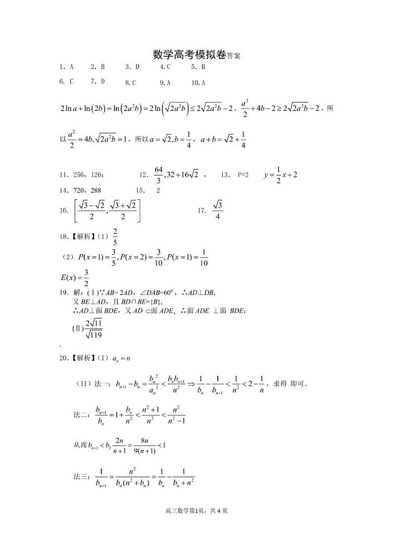
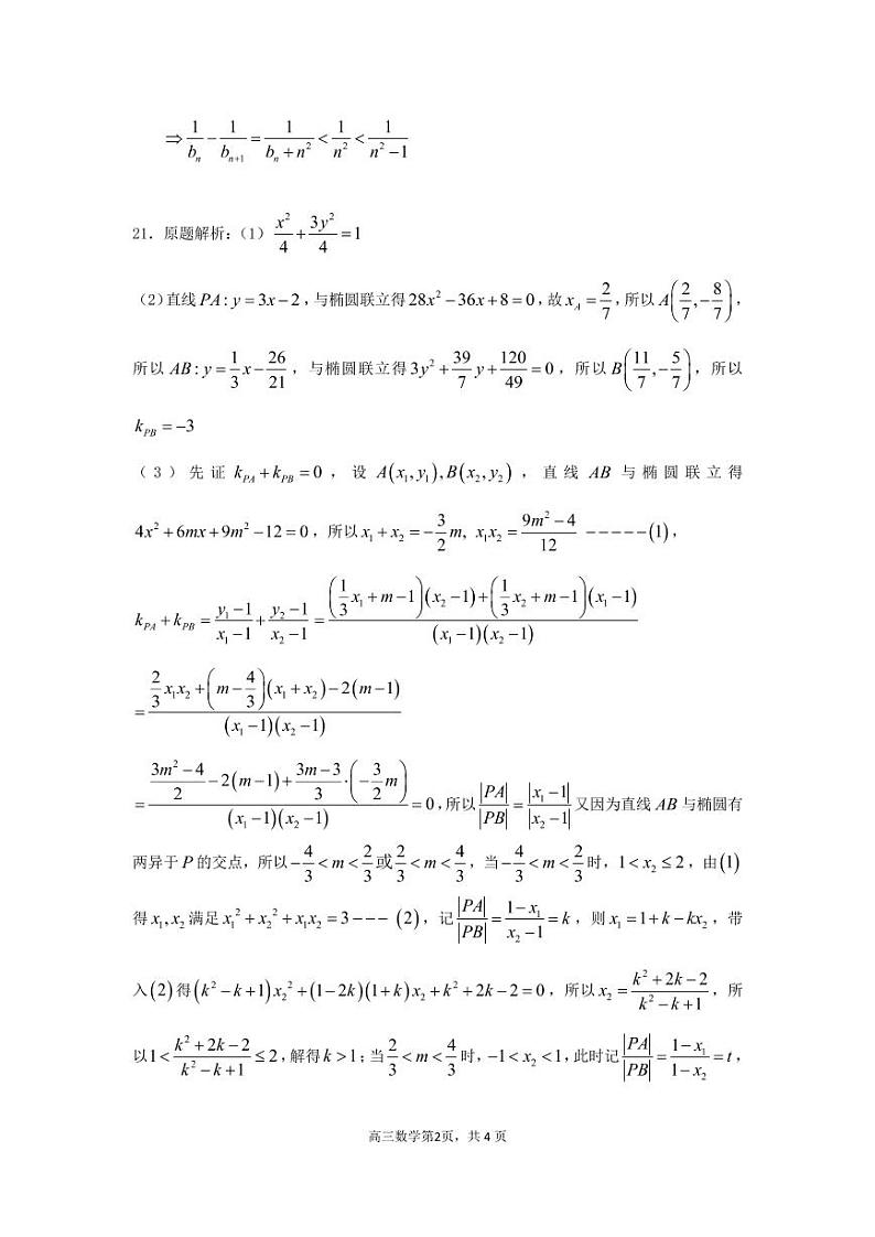
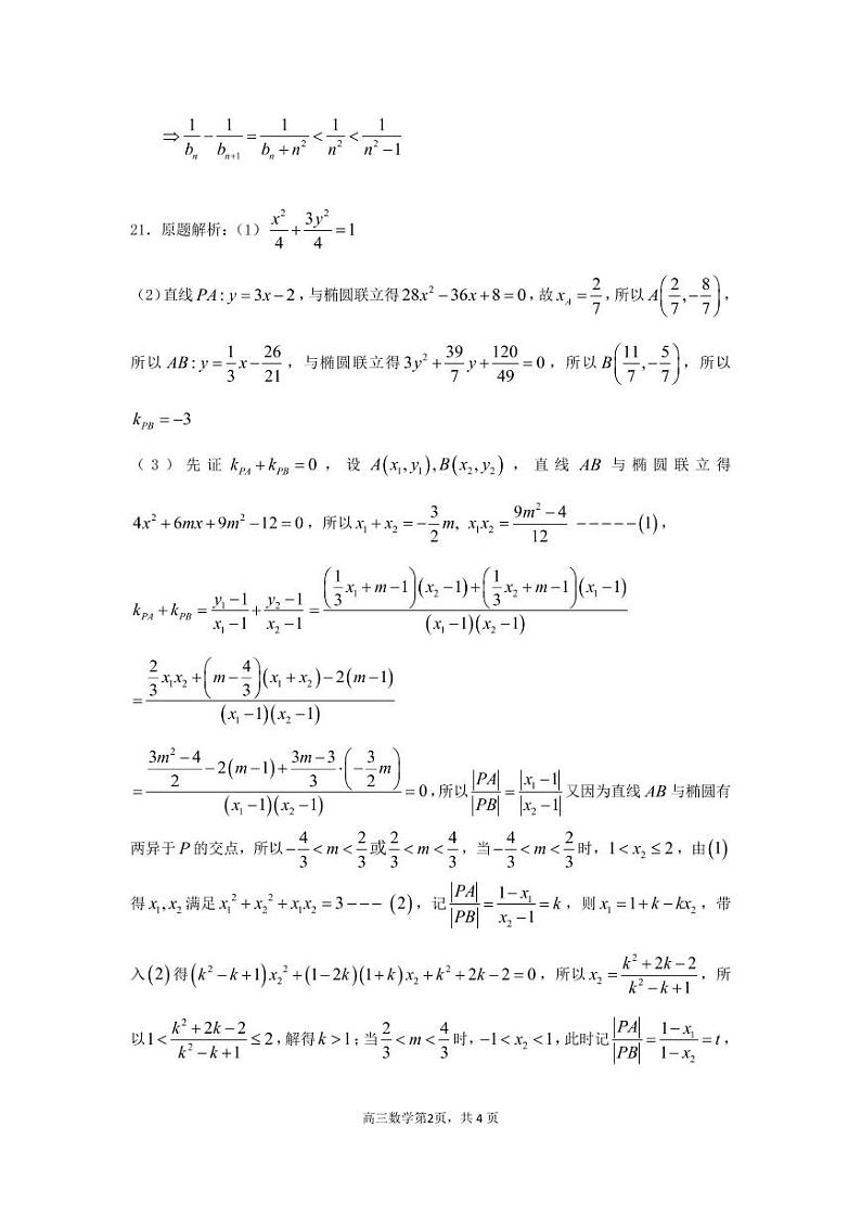
2020宁波镇海中学高三6月考前模拟数学试题(PDF可编辑版)PDF版含答案
展开2023届浙江省宁波市镇海中学高三5月模拟考试数学PDF版含答案: 这是一份2023届浙江省宁波市镇海中学高三5月模拟考试数学PDF版含答案,文件包含数学答案pdf、浙江省宁波市镇海中学2023届高三5月模拟考试数学试题pdf等2份试卷配套教学资源,其中试卷共11页, 欢迎下载使用。
2023届浙江省宁波市镇海中学高三5月模拟考试 数学 PDF版 (1): 这是一份2023届浙江省宁波市镇海中学高三5月模拟考试 数学 PDF版 (1),文件包含数学答案pdf、浙江省宁波市镇海中学2023届高三5月模拟考试数学试题pdf等2份试卷配套教学资源,其中试卷共11页, 欢迎下载使用。
2022届浙江省宁波市镇海中学高三下学期5月高考模拟考试数学试题(PDF版): 这是一份2022届浙江省宁波市镇海中学高三下学期5月高考模拟考试数学试题(PDF版),共8页。