资料中包含下列文件,点击文件名可预览资料内容






还剩3页未读,
继续阅读
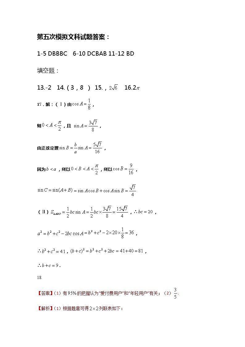
2020银川贺兰县景博中学高三第五次模拟考试数学(文)试题(可编辑)PDF版含答案
展开
这是一份2020银川贺兰县景博中学高三第五次模拟考试数学(文)试题(可编辑)PDF版含答案
相关试卷
2020银川贺兰县景博中学高三第五次模拟考试数学(理)试题含答案:
这是一份2020银川贺兰县景博中学高三第五次模拟考试数学(理)试题含答案
2021银川贺兰县景博中学高三下学期二模理数试题(可编辑)PDF版含答案:
这是一份2021银川贺兰县景博中学高三下学期二模理数试题(可编辑)PDF版含答案
2021银川贺兰县景博中学高三下学期二模文数试题(可编辑)PDF版含答案:
这是一份2021银川贺兰县景博中学高三下学期二模文数试题(可编辑)PDF版含答案
