资料中包含下列文件,点击文件名可预览资料内容
还剩4页未读,
继续阅读
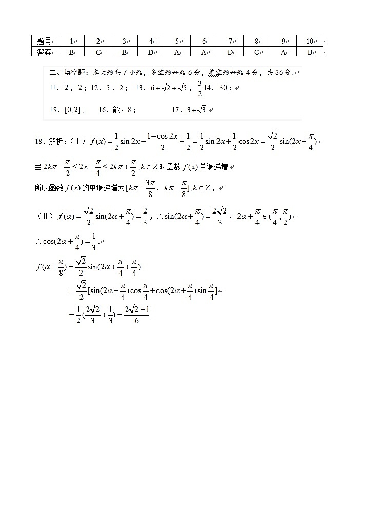
2021温州高三上学期11月适应性测数学试题含答案
展开
这是一份2021温州高三上学期11月适应性测数学试题含答案
相关试卷
浙江省温州市普通高中2024届高三上学期第一次适应性考试(温州一模)数学试题及答案:
这是一份浙江省温州市普通高中2024届高三上学期第一次适应性考试(温州一模)数学试题及答案,文件包含数学试题卷参考答案pdf、数学卷-2311温州一模pdf等2份试卷配套教学资源,其中试卷共12页, 欢迎下载使用。
浙江省温州市2021届高三上学期11月适应性测数学试题 Word版含答案:
这是一份浙江省温州市2021届高三上学期11月适应性测数学试题 Word版含答案,文件包含20201111温州一模答案doc、2021届温州11月模拟docx等2份试卷配套教学资源,其中试卷共13页, 欢迎下载使用。
2021扬州高三上学期1月适应性练习数学试题含答案:
这是一份2021扬州高三上学期1月适应性练习数学试题含答案,共11页。试卷主要包含了下列说法中正确的是等内容,欢迎下载使用。

