资料中包含下列文件,点击文件名可预览资料内容





还剩2页未读,
继续阅读
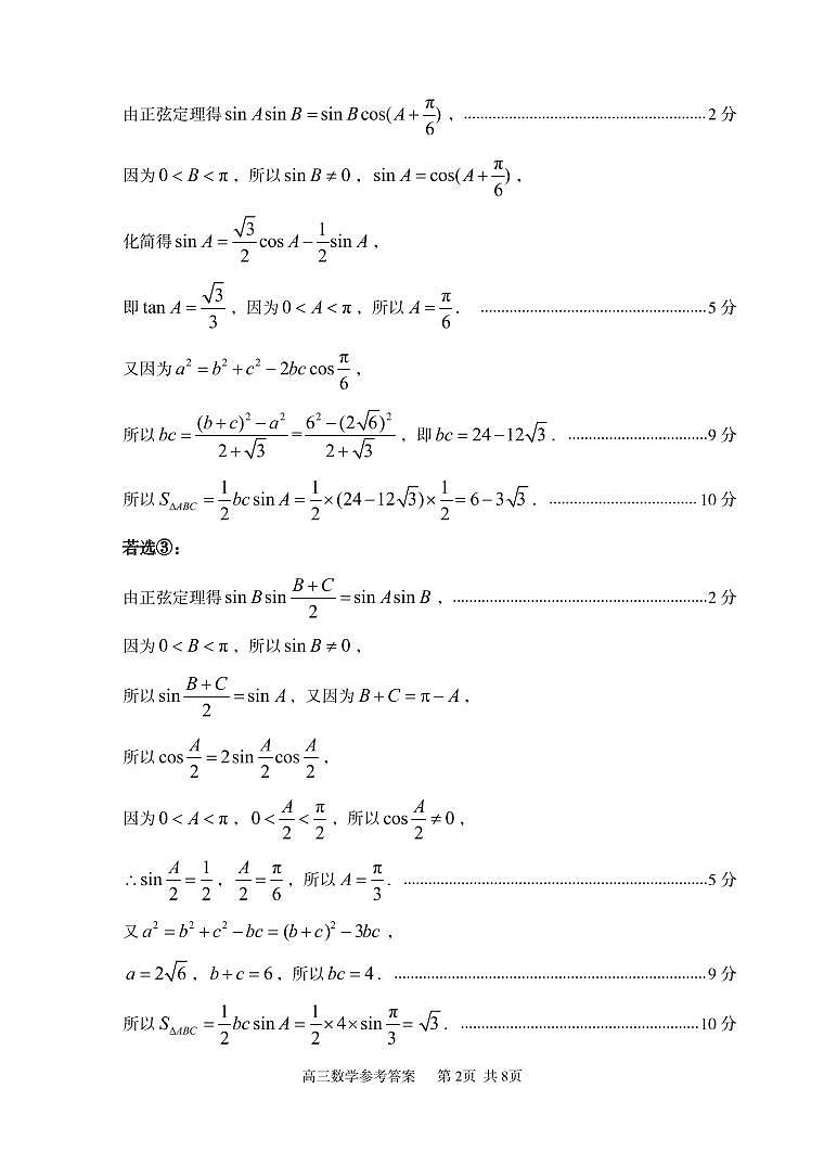
2021枣庄滕州高三上学期期中考试数学试题(可编辑)PDF版含答案
展开
这是一份2021枣庄滕州高三上学期期中考试数学试题(可编辑)PDF版含答案
相关试卷
2023枣庄滕州高一下学期期中数学试题pdf版无答案:
这是一份2023枣庄滕州高一下学期期中数学试题pdf版无答案,共6页。
2023枣庄滕州一中高一上学期期中(线上)考试数学试题pdf版含答案:
这是一份2023枣庄滕州一中高一上学期期中(线上)考试数学试题pdf版含答案,文件包含20221210模拟考试数学3参考答案1pdf、山东省枣庄滕州第一中学2022-2023学年高一上学期期中线上考试数学试题pdf等2份试卷配套教学资源,其中试卷共9页, 欢迎下载使用。
2021枣庄滕州一中高三10月份月考数学试题PDF版含答案:
这是一份2021枣庄滕州一中高三10月份月考数学试题PDF版含答案
