资料中包含下列文件,点击文件名可预览资料内容
还剩2页未读,
继续阅读
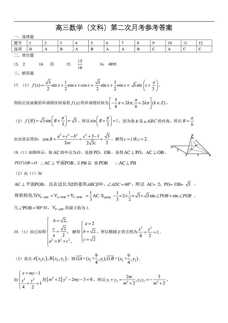
2021省大庆大庆实验中学高三上学期12月月考数学(文)试题含答案
展开
这是一份2021省大庆大庆实验中学高三上学期12月月考数学(文)试题含答案
相关试卷
2021省大庆实验中学高二10月月考数学(文)试题含答案:
这是一份2021省大庆实验中学高二10月月考数学(文)试题含答案
2021省大庆实验中学高三上学期开学考试理科数学试题含答案:
这是一份2021省大庆实验中学高三上学期开学考试理科数学试题含答案
2021省大庆实验中学高三上学期开学考试文科数学试题含答案:
这是一份2021省大庆实验中学高三上学期开学考试文科数学试题含答案

