资料中包含下列文件,点击文件名可预览资料内容
还剩5页未读,
继续阅读
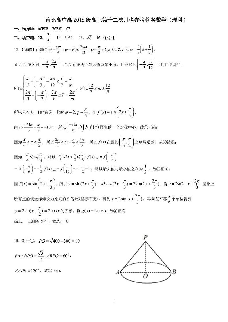
2021南充高级中学高三第12次月考数学(理)试卷含答案
展开
这是一份2021南充高级中学高三第12次月考数学(理)试卷含答案
相关试卷
2021南充高级中学高三上学期第二次月考数学(文)试卷含答案:
这是一份2021南充高级中学高三上学期第二次月考数学(文)试卷含答案
2021南充高级中学高三上学期第二次月考数学(理)试卷含答案:
这是一份2021南充高级中学高三上学期第二次月考数学(理)试卷含答案
2021南充高级中学高三第12次月考数学(文)试卷含答案:
这是一份2021南充高级中学高三第12次月考数学(文)试卷含答案

