湖南省邵阳市邵东市第一中学2022-2023学年高三上学期第二次月考数学试题(含答案)
展开2022年上学期高三第二次月考数学试卷
考试时间:120分钟总分:150分
一、单项选择题(本题共8小题,每小题5分,共40分)
1.设,那么等于( )
A. B.
C. D.
2.已知,则( )
A. B.
C. D.
3.“”是“”的( )
A.充分不必要条件 B.必要不充分条件
C.充要条件 D.既不充分也不必要条件
4.函数的图像大致是( )
A. B.
C. D.
5.已知等于( )
A. B. C. D.
6.已知等差数列的前项和为,若,且,则( )
A.0    B.1    C.2022    D.2023
7.设函数在区间恰有三个极值点、两个零点,则的取值范围是(    )
A. B. C. D.
8.已知定义在上的函数满足,当时,,若对任意,都有,则的取值范围是( )
A. B. C. D.
二、多项选择题(本题共4小题,每小题5分,共20分.全部选对的得5分,部分选对的得2分,有选错的得0分)
9.下列结论中,所有正确的结论有( )
A.若,则.
B.若,则
C.当时,
D.若,则
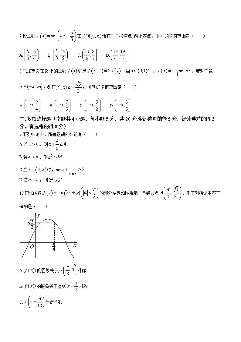
10.已知函数的部分图象如图所示,且经过点,则下列结论中不正确的是( )
A.的图象关于点对称
B.的图象关于直线对称
C.为奇函数
D.为偶函数
11.关于函数,下列说法正确的是( )
A.若是函数的零点,则是的整数倍
B.函数的图象关于点对称
C.函数的图象与函数的图象相同
D.函数的图象可由的图象先向上平移1个单位长度,再向左平移个单位长度得到.
12.函数及其导函数的定义域均为,且是奇函数,设,,则以下结论正确的有( )
A.函数的图象关于直线对称
B.若的导函数为,定义域为,则
C.的图象关于点中心对称
D.设数列为等差数列,若,则
三、填空题(本题共4小题,每小题5分,共20分)
13.的值是___________.
14.若点是曲线上任意一点,则点到直线的最小距离为___________.
15.已知的外接圆直径为是的中点,且,则___________.
16.已知函数,当时,,则实数的取值范围是___________.
四、解答题(本题共6题,共10+12+12+12+12+12 = 70分)
17.(10分)网上购物已经成为一种重要的消费方式.某网络公司通过随机问卷调查,得到不同年龄段的网民在网上购物的情况,并从参与的调查者中随机抽取了150人.经统计得到如下表格:
年龄(岁)  | ||||||
频数  | 15  | 45  | 45  | 30  | 8  | 7  | 
在网上购  | 12  | 33  | 35  | 15  | 3  | 2  | 
物的人数  | 
  | 
  | 
  | 
  | 
  | 
  | 
若把年龄大于或等于15而小于35岁的视为青少年,把年龄大于或等于35而小于65岁的视为中年人,把年龄大于或等于65岁的视为老年人,将频率视为概率.
(1)在青少年、中年人、老年人中,哪个群体网上购物的概率最大?
(2)现从某市青少年网民(人数众多)中随机抽取4人,设其中网上购物的人数为,求的分布列及期望.
18.(12分)已知数列的前项和为,若,且.
(1)求数列的通项公式
(2)若数列满足,求数列的前项和为
19.(12分)在中,内角所对的边分别为,且
(1)求;
(2)若,求的值.
20.(12分)如图,在四棱锥中,底面为梯形,,平面平面
(1)证明;
(2)若为正三角形,求二面角的正弦值.
21.(12分)已知椭圆的离心率为,点,点,点分别为椭圆的右顶点、上顶点和右焦点,且.
(1)求椭圆的方程;
(2)已知直线与圆相切,若直线与椭圆交于两点,求面积的最大值.
22.(12分)设
(1)求在上的极值;
(2)若对,都有成立,求实数的取值范围.
2022年高三上第二次月考数学试卷解析答案
1.答案:B
2.答案:C 因为,所以.
3.《优化设计》第5页答案:A
因为,所以,因此
,但,故“"cos”是
“”的充分不必要条件.
4.答案:A 解:由,排除;又,故,排除,选A.
5.答案:C 解析:因为,所以,故选C
6.答案:A 设公差为,则,故;又,故是以为首项,1为公差的等差数列,于是得,所以.选A.
本题也可用基本量法求解,借助等差数列前项和的性质运算更为简洁.
7.答案:C
解析:由,得.根据函数在区间恰有三个极值点,知,得.根据函数在区间恰有两个零点,知,得.综上,的取值范围为.
8.答案:B 由得:.又当时,,故当时,;类推得:当时,,且.如图.由得,解得或,解得或.故若对任意,都有,则.选B.
9.答案:ACD
10.《素能分级练A》第236页
ABC 解析由题意,可得,则,解得.因为,则,所以.由,所以不正确;由,此时函数为非奇非偶函数,所以C不正确;由为偶函数,所以D正确,故选ABC.
11.答案:BC 解析:
画出函数的图象,如图所示,可以得到函数的图象与轴的交点中,相邻的交点距离不等,
且不为,故错误,函数的图象关于点对称,故B正确,函数,故C正确函数的图象可由的图象先向上平移1个单位长度,再向左平移个单位长度得到,故错误.
12.答案:BCD 【解析】由导数的几何意义及的对称性,在和处的切线也关于原点对称,其斜率总相等,故是偶函数,对称轴为,A错:由的对称性,在和处的切线关于纵轴对称,其斜率互为相反数,故为奇函数,又定义域为对;,由为奇函数知为奇函数,图像关于对称,可以看作由按向量平移而得,故对;由C选项知,当时,,由等差数列性质,以此类推倒序相加,D正确.
13.《世纪金榜》
14.《素能分级练第230页第10题
15. 解:因为的外接圆直径为是的中点,且,
且;故;
16.答案:
解:等价于,构造函数,则不等式等价于:,当时,有,所以在上为增函数,又,所以恒成立,即,而,所以,所以的取值范围为.
17.答案:(1)由题表中的数据知,青少年网上购物的概率为,
中年人网上购物的概率为,老年人网上购物的概率为,
因为,所以青少年网上购物的概率最大.
(2)由题意及(1)知,,
故的分布列为
0  | 1  | 2  | 3  | 4  | |
18.(12分)
解:(1)方法一:
由得:
,变形得
①.
又且
②.
由①②知:对任意,恒有,且
数列是首项与公比均为2的等比数列.
方法二:
由变形得:
又,故
数列是以4首项,2为公比的等比数列
,故
当时,
又也适合上式
.
(2)方法一:
由(1)知,
.
两式相减得:.
.
方法二:
由(1)知,.
裂项变形得:
即.
19.(12分)
解:(1)由,可得,
由正弦定理得,即,.
由余弦定理,得,
因为,可得,
(2)由
及得,
又由(1),得
所以,所以,所以.
20.(12分)
【解析】(1)由题意,设,又,得,又,所以,
又平面平面,且平面平面平面,
所以平面,故.
(2)方法一(向量法):取的中点为坐标原点,以的方向为轴正方向,过点分别作和的平行线,分别为轴和轴,建立如图所示空间直角坐标系,
由为正三角形,,得,.
则,
则,
设为平面的法向量,则有,
即,可取,.
设为平面的法向量,
则有,
即,可取,
所以,
设二面角的平面角为,
则,
故二面角的正弦值为.
21.(12分)
解(1)由已知得椭圆的焦点在轴上,设椭圆的方程为
,则.
由已知得,所以,
所以,则.
又,
所以,所以,
所以,所以椭圆的方程为.
(2)圆的圆心坐标为,半径,由直线与圆相切,得,故.
联立得.由题意可知,
所以.
设点,则,
所以
,所以,
所以,
令,则,所以
.
当,即,即时,取得最大值,最大值为.
22.(12分)
(1)解:由
得的单调减区间是
同理,的单调增区间是
故的极小值为,极大值为.
【注:若只用得出结果至多给3分】
(2)解:由对称性,不妨设.
则即为.
设,则在上单调递增,
故,在上恒成立.
【方法一】(含参讨论)
设,
则,解得.
.
①当时,,
故当时,递增;
当时,递减;
此时,在上单调递增,故,符合条件.
②当时,同①当时,递增;当时,递减;
,
由连续函数零点存在性定理及单调性知,.
于是,当时,单调递增;
当时,单调递减.
,
,符合条件..
综上,实数的取值范围是.
【方法二】(必要性探路法)设,
则,解得.
由于时,
故只需证:.
设,
则.
设,
则.
当时,单调递增;
当时,单调递减;
.
由单调性知,当时,单调递增;当时,
单调递减..
,得证.
综上所述,实数的取值范围是.
2023-2024学年湖南省邵阳市邵东市第一中学高二上学期12月月考数学试题含答案: 这是一份2023-2024学年湖南省邵阳市邵东市第一中学高二上学期12月月考数学试题含答案,共24页。试卷主要包含了单选题,多选题,填空题,解答题等内容,欢迎下载使用。
湖南省邵阳市邵东市第一中学2023-2024学年高二上学期12月月考数学试题: 这是一份湖南省邵阳市邵东市第一中学2023-2024学年高二上学期12月月考数学试题,共16页。试卷主要包含了单选题,多选题,填空题,解答题等内容,欢迎下载使用。
湖南省邵阳市邵东市第一中学2023-2024学年高一上学期10月月考数学试题: 这是一份湖南省邵阳市邵东市第一中学2023-2024学年高一上学期10月月考数学试题,共12页。试卷主要包含了若集合,则,设命题,则,不等式的解集为,已知函数定义域是,则的定义域是,已知,且,则的范围是,下列四个命题中,正确的是等内容,欢迎下载使用。

