(新高考)高考数学一轮复习课件第8章§8.6《直线与椭圆》(含解析)
展开
这是一份(新高考)高考数学一轮复习课件第8章§8.6《直线与椭圆》(含解析),共60页。PPT课件主要包含了落实主干知识,探究核心题型,直线与椭圆的位置关系,弦长及中点弦问题,命题点1弦长问题,∴a2=4b2,命题点2中点弦问题,x+2y-3=0,又∵x1+x2=2,即x+2y-3=0等内容,欢迎下载使用。
1.理解直线与椭圆位置关系判断方法.2.掌握直线被椭圆所截的弦长公式.3.了解直线与椭圆相交的综合问题.
LUOSHIZHUGANZHISHI
1.直线与椭圆的位置判断将直线方程与椭圆方程联立,消去y(或x),得到关于x(或y)的一元二次方程,则直线与椭圆相交⇔Δ 0;直线与椭圆相切⇔Δ 0;直线与椭圆相离⇔Δ 0.
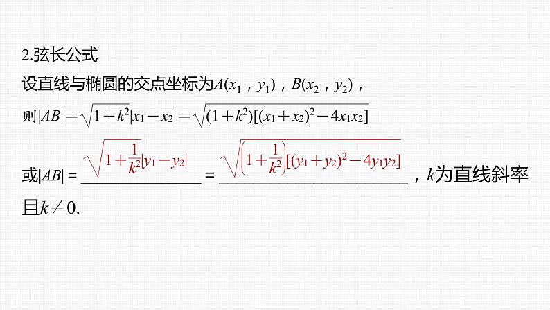
2.弦长公式设直线与椭圆的交点坐标为A(x1,y1),B(x2,y2),
或|AB|=_______________=______________________,k为直线斜率且k≠0.
(1)通径的长度为 .(2)过左焦点的弦AB,A(x1,y1),B(x2,y2),则焦点弦|AB|=2a+e(x1+x2);过右焦点弦CD,C(x3,y3),D(x4,y4),则焦点弦|CD|=2a-e(x3+x4).(e为椭圆的离心率)(3)A1,A2为椭圆的长轴顶点,P是椭圆上异于A1,A2的任一点,则 .
(4)AB是椭圆的不平行于对称轴的弦,O为原点,M 为AB的中点,则kOM·kAB= .(5)过原点的直线交椭圆于A,B两点,P是椭圆上异于A,B的任一点,则kPA·kPB= .(6)点P(x0,y0)在椭圆上,过点P的切线方程为 .
判断下列结论是否正确(请在括号中打“√”或“×”)(1)椭圆通径是所有的焦点弦中最短的弦.( )(2)直线y=x与椭圆 +y2=1一定相交.( )(3)直线y=x-1被椭圆 +y2=1截得的弦长为 .( )(4)过椭圆上两点A(x1,y1),B(x2,y2)的直线的斜率k= .( )
1.直线y=x+1与椭圆 的位置关系是A.相交 B.相切C.相离 D.无法判断
消去y得9x2+10x-15=0,Δ=100-4×9×(-15)>0,所以直线与椭圆相交.方法二 (优解)直线过点(0,1),而0+ <1,即点(0,1)在椭圆内部,所以可推断直线与椭圆相交.
2.已知斜率为1的直线l过椭圆 +y2=1的右焦点,交椭圆于A,B两点,则弦AB的长为
由题意得,a2=4,b2=1,所以c2=3,所以右焦点坐标为( ,0),则直线l的方程为y=x- ,设A(x1,y1),B(x2,y2),
消y得,5x2-8 x+8=0,
3.已知椭圆 (a>b>0)的右顶点为A(1,0),过其焦点且垂直于长轴的弦长为1,则椭圆方程为_________.
所以b=1,因为过焦点且垂直于长轴的弦长为1,
TANJIUHEXINTIXING
例1 已知直线l:y=2x+m,椭圆C: .试问当m取何值时,直线l与椭圆C:(1)有两个不重合的公共点;
消去y并整理得9x2+8mx+2m2-4=0.Δ=(8m)2-4×9×(2m2-4)=-8m2+144.当Δ>0,即-3 0且m≠3及m>0,得m>1且m≠3.
2.已知椭圆M: (a>b>0),过M的右焦点F(3,0)作直线交椭圆于A,B两点,若AB的中点坐标为(2,1),则椭圆M的方程为
设A(x1,y1),B(x2,y2),
又c=3,a2=b2+c2.联立解得a2=18,b2=9.
3.(多选)已知椭圆 与直线y=x+m交于A,B两点,且|AB|= ,则实数m的值为A.-1 B.1 C.-2 D.2
得3x2+4mx+2m2-2=0.Δ=16m2-12(2m2-2)=-8m2+24>0,设A(x1,y1),B(x2,y2),
解得m=±1,满足题意.
4.已知直线y=kx+1,当k变化时,此直线被椭圆 截得的最大弦长是A.2 B.C.4 D.不能确定
直线恒过定点(0,1),且点(0,1)在椭圆上,可设另外一个交点为(x,y),
5.(多选)设椭圆的方程为 ,斜率为k的直线不经过原点O,而且与椭圆相交于A,B两点,M为线段AB的中点.下列结论正确的是A.直线AB与OM垂直B.若点M坐标为(1,1),则直线方程为2x+y-3=0C.若直线方程为y=x+1,则点M坐标为D.若直线方程为y=x+2,则|AB|=
对于A项,因为在椭圆中,根据椭圆的中点弦的性质kAB·kOM= =-2≠-1,所以A项不正确;对于B项,根据kAB·kOM=-2,所以kAB=-2,所以直线方程为y-1=-2(x-1),即2x+y-3=0,所以B项正确;对于C项,若直线方程为y=x+1,点 ,则kAB·kOM=1×4=4≠-2,所以C项不正确;
对于D项,若直线方程为y=x+2,
得到2x2+(x+2)2-4=0,整理得3x2+4x=0,
6.(多选)已知椭圆C: (a>b>0)的左、右两焦点分别是F1,F2,其中|F1F2|=2c.直线l:y=k(x+c)(k∈R)与椭圆交于A,B两点,则下列说法中正确的有A.△ABF2的周长为4a
由直线l:y=k(x+c)过点(-c,0),知弦AB过椭圆的左焦点F1.所以△ABF2的周长为|AB|+|AF2|+|BF2|=|AF1|+|BF1|+|AF2|+|BF2|=4a,所以A正确;设A(x1,y1),B(x2,y2),
则a2-2c2≤3c2≤a2-c2,
由过焦点的弦中通径最短,
即2a2-3ac-2c2=0,解得a=2c,
7.已知直线l:y=k(x-1)与椭圆C: 交于不同的两点A,B,AB中点的横坐标为 ,则k=____.
得(4k2+1)x2-8k2x+4k2-4=0,因为直线l过椭圆内的定点(1,0),
8.与椭圆 有相同的焦点且与直线l:x-y+3=0相切的椭圆的离心率为_____.
因为所求椭圆与椭圆 +y2=1有相同的焦点,
因为直线l与椭圆相切,所以Δ=36a4-4(2a2-1)(10a2-a4)=0,化简得a4-6a2+5=0,
即a2=5或a2=1(舍).
9.已知椭圆M: (a>b>0)的左、右顶点分别为A,B,右焦点为F,椭圆M的离心率为 ,且过点 .(1)求椭圆M的方程;
(2)若过点N(1,1)的直线与该椭圆M交于P,Q两点,且线段PQ的中点恰为点N,求直线PQ的方程.
设P(xP,yP),Q(xQ,yQ),∵线段PQ的中点恰为点N,∴xP+xQ=2,yP+yQ=2.
即3x+4y-7=0.
10.设中心在原点,焦点在x轴上的椭圆E过点 ,且离心率为 .F为E的右焦点,P为E上一点,PF⊥x轴,⊙F的半径为PF.(1)求椭圆E和⊙F的方程;
(2)若直线l:y=k(x- )(k>0)与⊙F交于A,B两点,与E交于C,D两点,其中A,C在第一象限,是否存在k使|AC|=|BD|?若存在,求出直线l的方程;若不存在,说明理由.
由题设可知,A在E外,B在E内,C在⊙F内,D在⊙F外,在l上的四点A,B,C,D满足|AC|=|AB|-|BC|,|BD|=|CD|-|BC|.设C(x1,y1),D(x2,y2),将l的方程代入E的方程得(1+4k2)x2-8 k2x+12k2-4=0,
又⊙F的直径|AB|=1,所以|BD|-|AC|=|CD|-|AB|=|CD|-1>0,故不存在正数k使|AC|=|BD|.
11.(2022·临沂模拟)过椭圆内定点M且长度为整数的弦,称作该椭圆过点M的“好弦”.在椭圆 中,过点M(4 ,0)的所有“好弦”的长度之和为A.120 D.260
由已知可得a=8,b=4,所以c=4 ,故M为椭圆的右焦点,由椭圆的性质可得当过焦点的弦垂直x轴时弦长最短,所以当x=4 时,
当弦与x轴重合时,弦长最长为2a=16,则弦长的取值范围为[4,16],故弦长为整数的弦有4到16的所有整数,则“好弦”的长度和为4+16+(5+6+7+…+15)×2=240.
12.(2022·江南十校模拟)已知椭圆C: +y2=1(a>1)的左、右焦点分别为F1,F2,过F1的直线与椭圆交于M,N两点,若△MNF2的周长为8,则△MF1F2面积的最大值为
由椭圆的定义可得△MNF2的周长为|MN|+|MF2|+|NF2|=|MF1|+|NF1|+|MF2|+|NF2|=4a=8,
13.(2022·兰州质检)已知P(2,-2)是离心率为 的椭圆 (a>b>0)外一点,经过点P的光线被y轴反射后,所有反射光线所在直线中只有一条与椭圆相切,则此条切线的斜率是
设过点P的直线斜率为k,则直线方程为y+2=k(x-2),即y=kx-2k-2,则反射后的切线方程为y=-kx-2k-2,
得(3+4k2)x2+16k(k+1)x+16k2+32k+16-3a2=0,∵所有反射光线所在直线中只有一条与椭圆相切,∴Δ=[16k(k+1)]2-4(3+4k2)(16k2+32k+16-3a2)=0,化简得4a2k2+3a2=16k2+32k+16,
14.(多选)已知O为坐标原点,椭圆T: 的右焦点为F,过点F的直线交椭圆T于A,B两点,则下列结论正确的是
D.△AOB面积的最大值为3
对于A,易知当直线AB垂直于x轴时,|AB|取得最小值,由椭圆T的方程知F(1,0),
所以|AB|的最小值为3,故A错误;对于B,设A(x1,y1),B(x2,y2),M(x0,y0),x1≠x2,x0≠0,因为M为线段AB的中点,
又点A,B在椭圆T上,
对于C,易知直线AB的斜率存在且不为零,设直线AB的方程为x=my+1,代入椭圆T的方程得(3m2+4)y2+6my-9=0,
因为函数y=3t+ 在t∈[1,+∞)上单调递增,所以当t=1,即m=0时,△AOB的面积取得最大值,且最大值为 ,故D错误.
15.(多选)已知F1,F2是椭圆C1: (a>b>0)的左、右焦点,M,N是左、右顶点,e为椭圆C的离心率,过右焦点F2的直线l与椭圆交于A,B两点,若 ,|AF1|=2|AF2|,设直线AB的斜率为k,直线AM和直线AN的斜率分别为k1,k2,直线BM和直线BN的斜率分别为k3,k4,则下列结论一定正确的是
∴AF1⊥BF1,过点F2作F1B的平行线,交AF1于点E,∴AF1⊥EF2.设|F2A|=2t,
∴|AB|=5t,∵AF1⊥BF1,∴|F1B|=3t,∴12t=4a,∴a=3t.∴|BF1|=|BF2|=3t=a,∴B(0,±b).
|F1F2|=2c,∵|EF1|2+|EF2|2=|F1F2|2,
设A(x,y),易得M(-a,0),N(a,0),
16.已知直线l经过椭圆C: (a>b>0)的右焦点(1,0),交椭圆C于点A,B,点F为椭圆C的左焦点,△ABF的周长为8.(1)求椭圆C的标准方程;
(2)若直线m与直线l的倾斜角互补,且交椭圆C于点M,N,|MN|2=4|AB|,求证:直线m与直线l的交点P在定直线上.
若直线l的斜率不存在,则直线m的斜率也不存在,这与直线m与直线l相交于点P矛盾,∴直线l的斜率存在.设l:y=k(x-1)(k≠0),m:y=-k(x+t),A(xA,yA),B(xB,yB),M(xM,yM),N(xN,yN).将直线m的方程代入椭圆方程得,(3+4k2)x2+8k2tx+4(k2t2-3)=0,
由|MN|2=4|AB|得t=0,
相关课件
这是一份高考复习8.6 直线与椭圆课件PPT,共43页。PPT课件主要包含了答案A,答案B等内容,欢迎下载使用。
这是一份新高考数学一轮复习课件 第8章 §8.6 直线与椭圆,共60页。PPT课件主要包含了§86直线与椭圆,落实主干知识,探究核心题型,课时精练等内容,欢迎下载使用。
这是一份(新高考)高考数学一轮考点复习8.6《抛物线》课件 (含解析)

