资料中包含下列文件,点击文件名可预览资料内容





还剩4页未读,
继续阅读
所属成套资源:2023长治高三上学期9月质量检测试题及答案(九科)
成套系列资料,整套一键下载
2023长治高三上学期9月质量检测试题数学PDF版含答案
展开
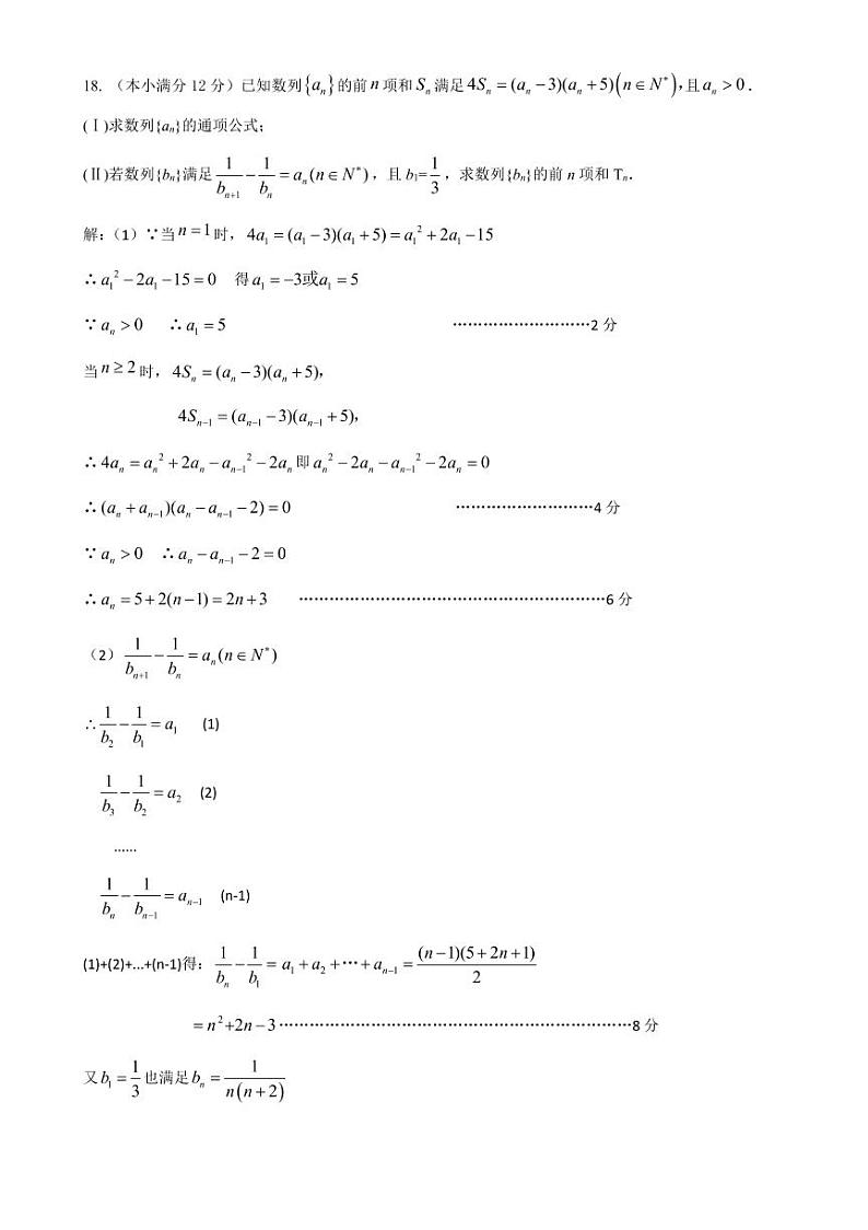
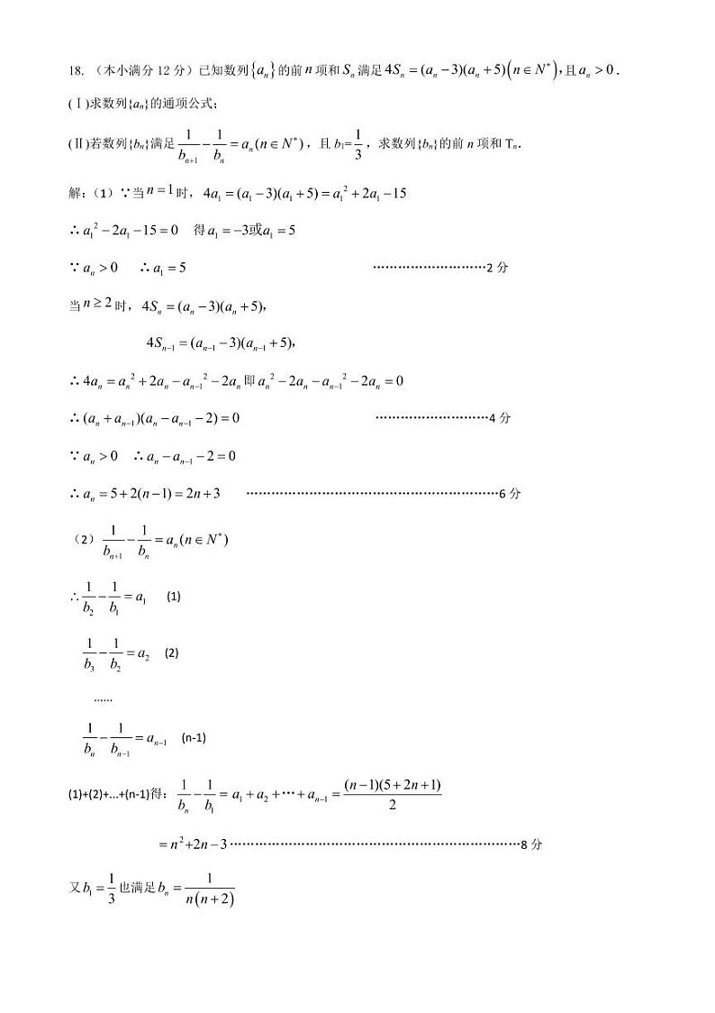
这是一份2023长治高三上学期9月质量检测试题数学PDF版含答案,文件包含数学答案pdf、数学pdf等2份试卷配套教学资源,其中试卷共11页, 欢迎下载使用。
相关试卷
2022届山西省长治市高三上学期9月质量监测数学试题 (PDF版):
这是一份2022届山西省长治市高三上学期9月质量监测数学试题 (PDF版),文件包含长治市20212022学年度高三年级九月份数学质量监测试题pdf、理科数学答案pdf等2份试卷配套教学资源,其中试卷共12页, 欢迎下载使用。
2023届山西省长治市高三上学期9月质量检测试题数学PDF版含答案:
这是一份2023届山西省长治市高三上学期9月质量检测试题数学PDF版含答案
2023届山西省长治市高三上学期9月质量检测试题 数学 PDF版:
这是一份2023届山西省长治市高三上学期9月质量检测试题 数学 PDF版,文件包含数学答案pdf、数学pdf等2份试卷配套教学资源,其中试卷共11页, 欢迎下载使用。