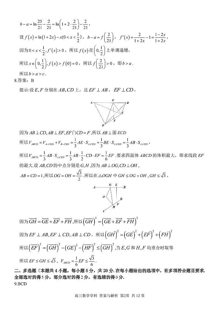
20222023学年浙江省七彩阳光新高考研究联盟高三上学期返校联考数学PDF版含答案
展开2024浙江省七彩阳光新高考研究联盟高三上学期返校联考数学试卷图片版含答案: 这是一份2024浙江省七彩阳光新高考研究联盟高三上学期返校联考数学试卷图片版含答案,文件包含浙江省七彩阳光新高考研究联盟高三2023-2024学年上学期返校联考数学试卷docx、浙江省七彩阳光新高考研究联盟高三2023-2024学年上学期返校联考数学答案pdf等2份试卷配套教学资源,其中试卷共14页, 欢迎下载使用。
浙江省七彩阳光新高考研究联盟2022-2023学年高三上学期返校联考数学试卷: 这是一份浙江省七彩阳光新高考研究联盟2022-2023学年高三上学期返校联考数学试卷
2021浙江省七彩阳光新高考研究联盟高三下学期返校联考数学试卷含答案: 这是一份2021浙江省七彩阳光新高考研究联盟高三下学期返校联考数学试卷含答案

