高中人教A版 (2019)3.2 双曲线示范课ppt课件
展开
这是一份高中人教A版 (2019)3.2 双曲线示范课ppt课件,共49页。PPT课件主要包含了F1F2=2c,x≤-a或x≥a,y≤-a或y≥a,坐标轴,A1A2,B1B2,预习自测,答案B,答案D,微思考等内容,欢迎下载使用。
| 自 学 导 引 |
双曲线的简单几何性质
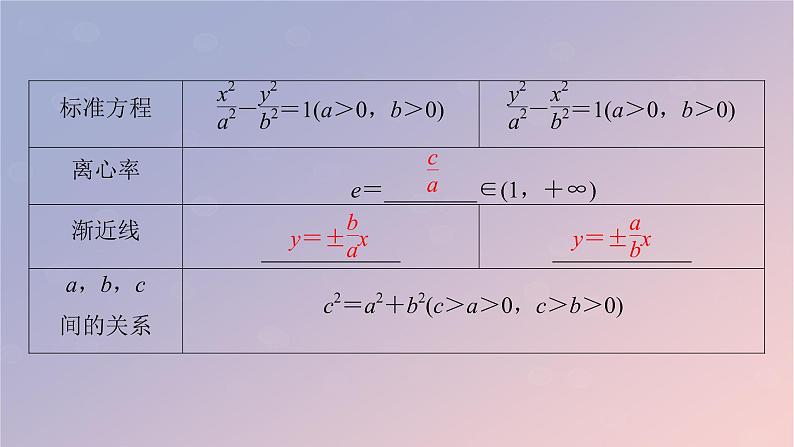
F1(-c,0),F2(c,0)
F1(0,-c),F2(0,c)
A1(-a,0),A2(a,0)
A1(0,-a),A2(0,a)
【答案】(1)√ (2)×
若双曲线确定,则渐近线确定吗?反过来呢?
等轴双曲线实轴和虚轴等长的双曲线,标准方程为______________.
【答案】(1)× (2)√
2.设双曲线的渐近线方程为y=±x,则该双曲线的离心率e=__________.
| 课 堂 互 动 |
【答案】(1)B (2)C
用双曲线标准方程研究几何性质的步骤(1)将双曲线方程化为标准形式.(2)判断焦点位置.(3)求出a,b,c的值.(4)写出双曲线的几何性质.
【答案】(1)D (2)C
【例题迁移】 (变换条件)本例(2)中条件“若|PF1|+|PF2|=6a,且△PF1F2的最小内角为30°”改为“若PF1⊥PF2,且∠PF1F2=30°”结果如何?
错解分析:错误的根本原因是误以为焦点只能在x轴上,造成失解.实际上本题应该有两种情况.
防范措施:条件考虑要全面由渐近线不能确定焦点是在x轴上,还是在y轴上,因此需要分两种情况讨论.在求解圆锥曲线问题时,既要分析定量条件,又要分析定位条件,以免造成失解、错解.
| 素 养 达 成 |
1.对双曲线渐近线的四点说明(1)随着x和y趋向于无穷大,双曲线将无限地与渐近线接近,但永远没有交点.(2)由渐近线方程可确定a与b或b与a的比值,但无法确定焦点位置.
2.(题型2)中心在原点,实轴在x轴上,一个焦点在直线3x-4y+12=0上的等轴双曲线方程是( )A.x2-y2=8B.x2-y2=4C.y2-x2=8D.y2-x2=4【答案】A
【答案】C【解析】由已知焦点在x轴上,所以m>0.所以m+3m=4,m=1.所以双曲线的实轴长为2.
相关课件
这是一份数学选择性必修 第一册第三章 圆锥曲线的方程3.2 双曲线图文ppt课件,共28页。PPT课件主要包含了新知初探·课前预习,题型探究·课堂解透,答案B,答案A,答案D等内容,欢迎下载使用。
这是一份高中数学人教A版 (2019)选择性必修 第一册3.2 双曲线教案配套课件ppt,共34页。PPT课件主要包含了新知初探·课前预习,题型探究·课堂解透,x≤-a,x≥a,y≤-a,y≥a,坐标轴,1+∞,实轴和虚轴等长,y=±x等内容,欢迎下载使用。
这是一份数学选择性必修 第一册3.2 双曲线集体备课ppt课件,共54页。PPT课件主要包含了F1F2=2c,x≤-a或x≥a,y≤-a或y≥a,坐标轴,A1A2,B1B2,预习自测,答案B,答案D,微思考等内容,欢迎下载使用。

