七年级上册第一章 有理数1.5 有理数的乘方1.5.1 乘方第2课时复习练习题
展开
这是一份七年级上册第一章 有理数1.5 有理数的乘方1.5.1 乘方第2课时复习练习题,文件包含2022-2023人教大版数学七年级上册第一章15151乘方第2课时同步练习教师版doc、2022-2023人教大版数学七年级上册第一章15151乘方第2课时同步练习学生版doc等2份试卷配套教学资源,其中试卷共8页, 欢迎下载使用。
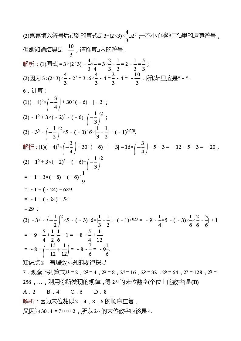
1.5.1 乘 方第2课时知识点1 有理数的混合运算1.计算8-23÷(-4)×(-7+5)的结果为(B)A.-4 B.4 C.12 D.-12解析:原式=8-8÷(-4)×(-2)=8-(-2)×(-2)=8-4=4.2.如图是一个数值转换机,若输入数x=-2,则输出的结果是(A)―→―→―→―→A.- B.0 C. D.1解析:当x=-2时,输出结果(x2-5)÷3=[(-2)2-5]÷3=(4-5)÷3=-1÷3=-.3.现定义一种新的运算:a*b=(a+b)2÷(b-a).例如:1*2=(1+2)2÷(2-1)=32÷1=9.请你按以上方法计算(-2)*1=(C)A.-1 B.-2 C. D.-解析:根据题中的新定义得:原式=(-2+1)2÷[1-(-2)]=1÷3=.4.计算:-72+2×(-1)4+(-6)÷结果为__1__.解析:-72+2×(-1)4+(-6)÷=-49+2×1+(-6)÷=-49+2+48=1.5.有个写运算符号的游戏:在“3□(2□3)□□22”中的每个□内.填入“+,-,×,÷”中的某一个(可重复使用),然后计算结果.(1)请计算琪琪填入符号后得到的算式:3×(2÷3)-÷22;(2)嘉嘉填入符号后得到的算式是3÷(2×3)×□22,一不小心擦掉了□里的运算符号,但她知道结果是-,请推算□内的符号.解析:(1)原式=3×(2÷3)-×=3×-=2-=;(2)因为3÷(2×3)×-22=3÷6×-4=-4=-,所以□里应是“-”.6.计算:(1)(-4)2×+30÷(-6)-|-3|;(2)-12+3×(-2)3-(-6)÷;(3)-32-×5-(-3)÷6×|-|+(-1)2 020.解析:(1)(-4)2×+30÷(-6)-|-3|=16×-5-3=-12-5-3=-20;(2)-12+3×(-2)3-(-6)÷=-1+3×(-8)-(-6)÷=-1+(-24)+6×9=-1+(-24)+54=29;(3)-32-×5-(-3)÷6×|-|+(-1)2 020=-9-×5-(-3)××|-|+1=-9-+×+1=-8-+=-8+=-8-=-9.知识点2 有理数排列的规律探寻7.观察下列算式:21=2,22=4,23=8,24=16,25=32,26=64,27=128,28=256,…,利用你所发现的规律,得230的末位数字(个位上的数字)是(B)A.2 B.4 C.6 D.8解析:因为末位数以2,4,8,6的顺序重复,又因为30÷4=7……2,所以230的末位数字应该是4.8.若x,y互为相反数,m,n互为倒数,|a|=1.则a2-(x+y)2 021+(mn)2 020的值为(B)A.1 B.2 C.0或2 D.-2解析:根据题意知x+y=0,mn=1,a=1或a=-1,当a=1时,原式=12-02 021+12 020=1-0+1=2;当a=-1时,原式=(-1)2-02 021+12 020=1-0+1=2. 综上,a2-(x+y)2 021+(mn)2 020的值为2.9.设三个互不相等的有理数,既可表示为1,a+b,a的形式,又可表示为0,,b的形式,则a2 021+b2 021的值为(A)A.0 B.-1 C.1 D.2解析:因为三个互不相等的有理数,既可表示为1,a+b,a的形式,又可表示为0,,b的形式,所以这两个数组分别对应相等.所以a+b,a中有一个是0,由于有意义,所以a≠0,则a+b=0,所以a,b互为相反数.所以=-1,b=1,a=-1.所以a2 021+b2 021=(-1)2 021+12 021=0.10.按如图所示的程序进行计算,如果第一次输入的数是18;而结果不大于100时,就把结果作为输入的数再进行第二次运算,直到符合要求为止,则最后输出的结果为(C)A.72 B.144 C.288 D.576解析:把18输入得:18×÷=18×÷=-36<100,把-36输入得:-36×÷=-36×÷=72<100,把72输入得:72×÷=72×÷=-144<100,把-144输入得:-144×÷=-144×÷=288>100,则输出的数字为288.11.(新定义运算题)形如的式子叫做二阶行列式,其运算法则用公式可以表示为=ad-bc,计算:-=__-18__(只填计算结果).解析:根据题中的新定义得:原式=8-9-(8+9)=-1-17=-18.12.(教材P43例4变式)观察下面三行数:-3,9,-27,81,-243,…;-5,7,-29,79,-245,…;-1,3,-9,27,-81,….(1) 探索第一行数中的规律,并用含n(n为正整数)的代数式表示第n个数为________.(2) 第二、三行数与第一行数中相对应的数分别有什么关系?(3) 分别取上面三行数中每行的第六个数,计算这三个数的和.解析:(1) (-3)n;(2) 对比第一、二行数中相对应的数,可以发现:第二行数是第一行相对应的数减2.对比第一、三行数中相对应的数,可以发现:第三行数是第一行相对应的数除以3.(3) 每行中的第六个数的和是(-3)6+[(-3)6-2]+[(-3)6÷3]=729+727+243=1 699.13.(素养提升题)阅读材料:求1+2+22+23+24+…+22 017的值.解:设S=1+2+22+23+24+…+22 017①,将等式两边同时乘2,得2S=2+22+23+24+…+22 017+22 018②,由②-①,得2S-S=22 018-1,即S=22 018-1,即1+2+22+23+24+…+22 017=22 018-1.请你仿照此法计算:(1) 1+2+22+23+…+29=________;(2) 1+5+52+53+54+…+5n(其中n为正整数);(3) 1+2×2+3×22+4×23+…+9×28+10×29.解析:(1) 210-1.(2) 设S=1+5+52+53+54+…+5n①,将等式两边同时乘5,得5S=5+52+53+54+55+…+5n+5n+1②,由②-①,得5S-S=5n+1-1,即S=,即1+5+52+53+54+…+5n=.(3)设S=1+2×2+3×22+4×23+…+9×28+10×29①,将等式两边同时乘2,得2S=2+2×22+3×23+4×24+…+9×29+10×210②,由①-②,得-S=1+2+22+23+…+29-10×210,结合(1),得-S=210-1-10×210,所以S=9×210+1,即1+2×2+3×22+4×23+…+9×28+10×29=9×210+1.易错点:对有理数混合运算的运算顺序理解不透彻14.计算:-52-[(-2)3+÷(-2)].解析:原式=-25-[-8+(1-6)÷(-2)]=-25-[-8+(-5)÷(-2)]=-25-(-8+2.5)=-25-(-5.5)=-25+5.5=-19.5.
相关试卷
这是一份初中数学人教版七年级上册1.5.3 近似数课后测评,文件包含2022-2023人教大版数学七年级上册第一章15153近似数同步练习教师版doc、2022-2023人教大版数学七年级上册第一章15153近似数同步练习学生版doc等2份试卷配套教学资源,其中试卷共8页, 欢迎下载使用。
这是一份初中数学人教版七年级上册1.5.2 科学记数法同步训练题,文件包含2022-2023人教大版数学七年级上册第一章15152科学记数法同步练习教师版doc、2022-2023人教大版数学七年级上册第一章15152科学记数法同步练习学生版doc等2份试卷配套教学资源,其中试卷共7页, 欢迎下载使用。
这是一份2020-2021学年1.5.1 乘方第1课时巩固练习,文件包含2022-2023人教大版数学七年级上册第一章15151乘方第1课时同步练习教师版doc、2022-2023人教大版数学七年级上册第一章15151乘方第1课时同步练习学生版doc等2份试卷配套教学资源,其中试卷共7页, 欢迎下载使用。

