还剩25页未读,
继续阅读
所属成套资源:全套人教A版高考数学一轮总复习新题型微课堂教学课件
成套系列资料,整套一键下载
人教A版高考数学一轮总复习第4章新高考新题型微课堂4开放题命题热点之解三角形教学课件
展开
这是一份人教A版高考数学一轮总复习第4章新高考新题型微课堂4开放题命题热点之解三角形教学课件,共33页。
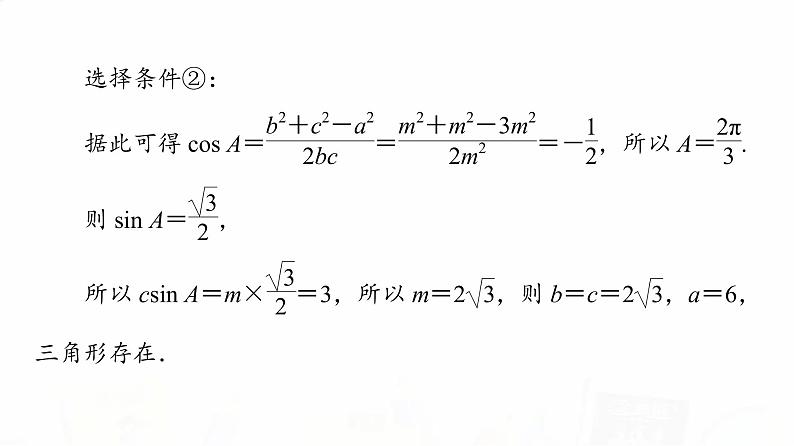
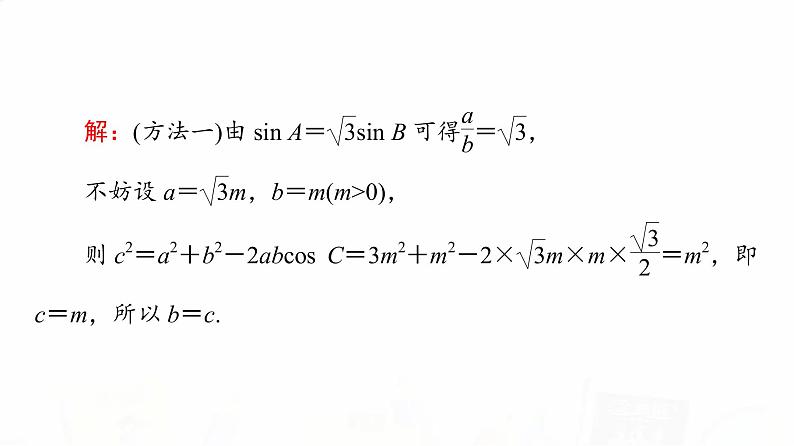
新高考新题型微课堂 四 开放题命题热点之解三角形第四章 三角函数与解三角形谢谢观看 THANK YOU!
相关课件
人教A版高考数学一轮总复习第3章新高考新题型微课堂2多选题命题热点之导数教学课件:
这是一份人教A版高考数学一轮总复习第3章新高考新题型微课堂2多选题命题热点之导数教学课件,共26页。
人教A版高考数学一轮总复习第9章新高考新题型微课堂9多选题命题热点之统计教学课件:
这是一份人教A版高考数学一轮总复习第9章新高考新题型微课堂9多选题命题热点之统计教学课件,共25页。
人教A版高考数学一轮总复习第6章新高考新题型微课堂6开放题命题热点之数列问题教学课件:
这是一份人教A版高考数学一轮总复习第6章新高考新题型微课堂6开放题命题热点之数列问题教学课件,共29页。

