







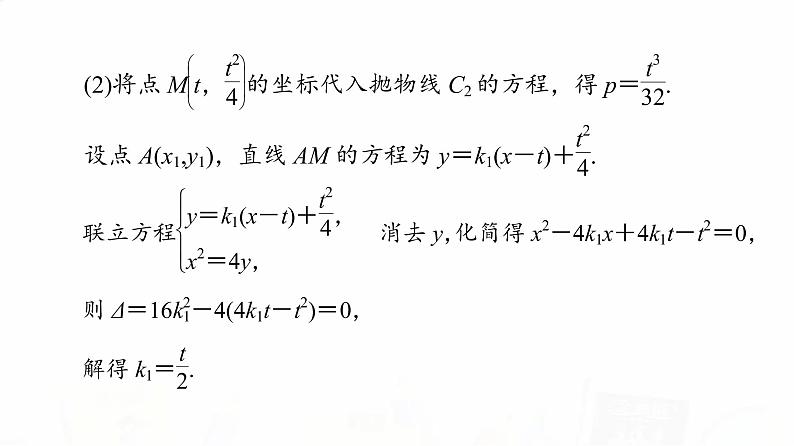
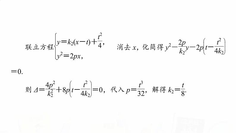
人教A版高考数学一轮总复习第8章第8节第2课时范围、最值问题教学课件
展开关键能力•研析考点强“四翼”
一题N解•深化综合提“素养”
2024版高考数学一轮总复习第8章平面解析几何第8节第2课时范围最值问题课件: 这是一份2024版高考数学一轮总复习第8章平面解析几何第8节第2课时范围最值问题课件,共44页。PPT课件主要包含了四字程序等内容,欢迎下载使用。
高考数学一轮复习第8章第8节第2课时范围、最值问题课件: 这是一份高考数学一轮复习第8章第8节第2课时范围、最值问题课件,共60页。PPT课件主要包含了考点1考点2等内容,欢迎下载使用。
人教A版高考数学一轮总复习第3章第2节第2课时导数与函数的极值、最值教学课件: 这是一份人教A版高考数学一轮总复习第3章第2节第2课时导数与函数的极值、最值教学课件,共60页。