还剩52页未读,
继续阅读
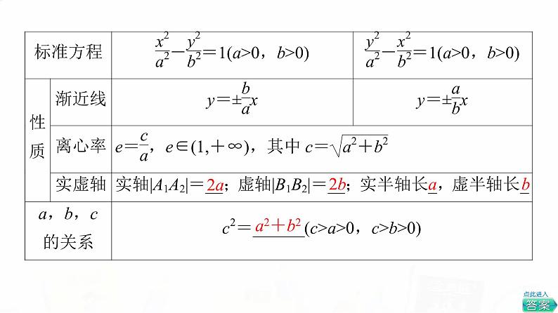
人教A版高考数学一轮总复习第8章第6节双曲线教学课件
展开
这是一份人教A版高考数学一轮总复习第8章第6节双曲线教学课件,共60页。
必备知识•回顾教材重“四基”
关键能力•研析考点强“四翼”
一题N解•深化综合提“素养”
相关课件
人教A版高考数学一轮总复习第9章第1节随机抽样教学课件:
这是一份人教A版高考数学一轮总复习第9章第1节随机抽样教学课件,共43页。PPT课件主要包含了第一节随机抽样等内容,欢迎下载使用。
人教A版高考数学一轮总复习第8章第5节椭圆教学课件:
这是一份人教A版高考数学一轮总复习第8章第5节椭圆教学课件,共60页。
人教A版高考数学一轮总复习第8章第3节圆的方程教学课件:
这是一份人教A版高考数学一轮总复习第8章第3节圆的方程教学课件,共47页。

