人教B版高考数学一轮总复习第10章第5节事件的独立性与条件概率及其关系、全概率公式课件
展开必备知识·回顾教材重“四基”
关键能力·研析考点强“四翼”
考点1 相互独立事件的概率——基础性
考点2 条件概率——基础性
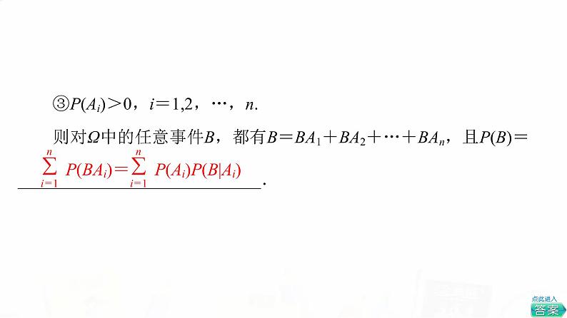
考点3 全概率公式——基础性
2024年新高考数学第一轮复习课件:第51讲 事件的相互独立性、条件概率与全概率公式: 这是一份2024年新高考数学第一轮复习课件:第51讲 事件的相互独立性、条件概率与全概率公式,共39页。PPT课件主要包含了激活思维,基础回归,PAPB,贝叶斯公式,研题型·融会贯通,举题说法,随堂内化,ABD等内容,欢迎下载使用。
2024全国一轮数学(基础版)第51讲 事件的相互独立性、条件概率与全概率公式课件PPT: 这是一份2024全国一轮数学(基础版)第51讲 事件的相互独立性、条件概率与全概率公式课件PPT,共41页。PPT课件主要包含了链教材·夯基固本,激活思维,基础回归,PAPB,贝叶斯公式,研题型·融会贯通,举题说法,随堂内化,ABD等内容,欢迎下载使用。
人教A版高考数学一轮总复习第10章第5节事件的独立性、条件概率与全概率公式教学课件: 这是一份人教A版高考数学一轮总复习第10章第5节事件的独立性、条件概率与全概率公式教学课件,共50页。

