


小学数学人教版六年级上册1 分数乘法教学设计及反思
展开
这是一份小学数学人教版六年级上册1 分数乘法教学设计及反思,共7页。
授课教师 上课时间 第( )次课课时:3课时教学课题分数乘法(2)教学内容1、掌握分数乘法的交换律;2、掌握分数乘法的结合律;3、掌握分数乘法的分配律;4、会运用乘法运算律,使一些分数分数乘法计算更加简便。教学重点/难点1、分数乘法的运算律;2、简便运算的计算能力。课后作业根据学生上课情况布置
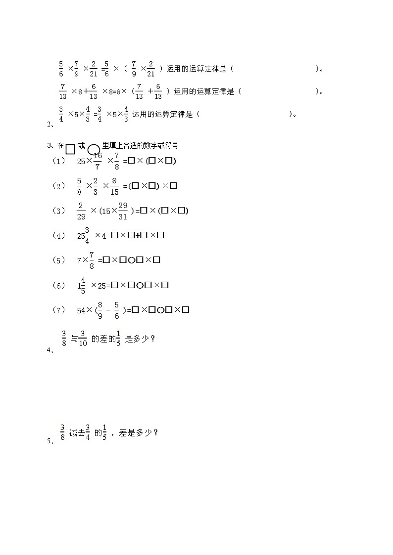
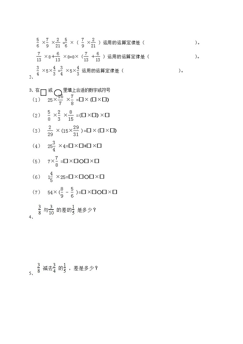
知识点一:分数的乘法运算律1、整数乘法的交换律、结合律和分配律,对于分数乘法也同样适用。 乘法交换律: a × b = b × a 乘法结合律: ( a × b )×c = a × ( b × c ) 乘法分配律: ( a + b )×c = a c + b c例题精讲1、 4 4
2、 3、在 或 里填上合适的数字或符号4、 5、
6、 知识点二:分数乘法的混合运算分数乘法的四则混合运算与整数的混合运算相同,能用简便运算的先用简便运算。混合运算原则:1、确定运算顺序:有括号的先算括号里面的;没有括号的,先算乘法,后算加减。 2、能约分的先约分。 3、能用运算律简便运算的先用交换律或结合律或分配律。例题精讲1、口算 2、 25×8 ×103-×2-
3、列式计算 3、用简便方法计算:(1) (2) (3) (4)
4、计算27×正确合理的是方法是( )5、以下三种方法的算法更合理,更简便一些的是( )6、用简便运算计算:
7、列式计算下面平行四边形的面积: 8、列式计算下面不规则图形的面积:
相关教案
这是一份六年级上册8 数学广角——数与形教学设计及反思,共5页。教案主要包含了本节课我做的比较好的地方是,我需要努力的地方是等内容,欢迎下载使用。
这是一份2021学年1 分数乘法教案设计,共5页。教案主要包含了方法技巧等内容,欢迎下载使用。
这是一份六年级上册4 扇形教学设计,共8页。
