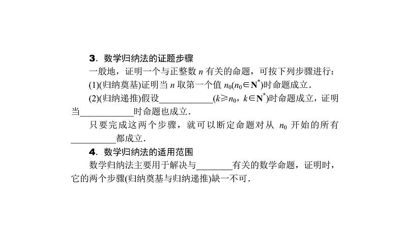
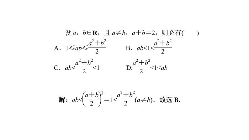
高考数学(理数)一轮复习12.3《直接证明与间接证明及数学归纳法》课件(含详解)
展开12.3 直接证明与间接证明及数学归纳法
高考数学(理数)一轮复习讲与练7.5《直接证明与间接证明、数学归纳法》(3份打包,课件+教案+配套练习,含解析): 这是一份高考数学(理数)一轮复习讲与练7.5《直接证明与间接证明、数学归纳法》(3份打包,课件+教案+配套练习,含解析)
高考数学(理数)一轮复习课件:第十二章 推理与证明、算法、复数 第二节 直接证明与间接证明、数学归纳法 (含详解): 这是一份高考数学(理数)一轮复习课件:第十二章 推理与证明、算法、复数 第二节 直接证明与间接证明、数学归纳法 (含详解),共48页。
高考数学(理数)一轮复习10.9《正态分布》课件(含详解): 这是一份高考数学(理数)一轮复习10.9《正态分布》课件(含详解),共30页。

