高考平面向量中最值问题归纳
展开
这是一份高考平面向量中最值问题归纳,共24页。
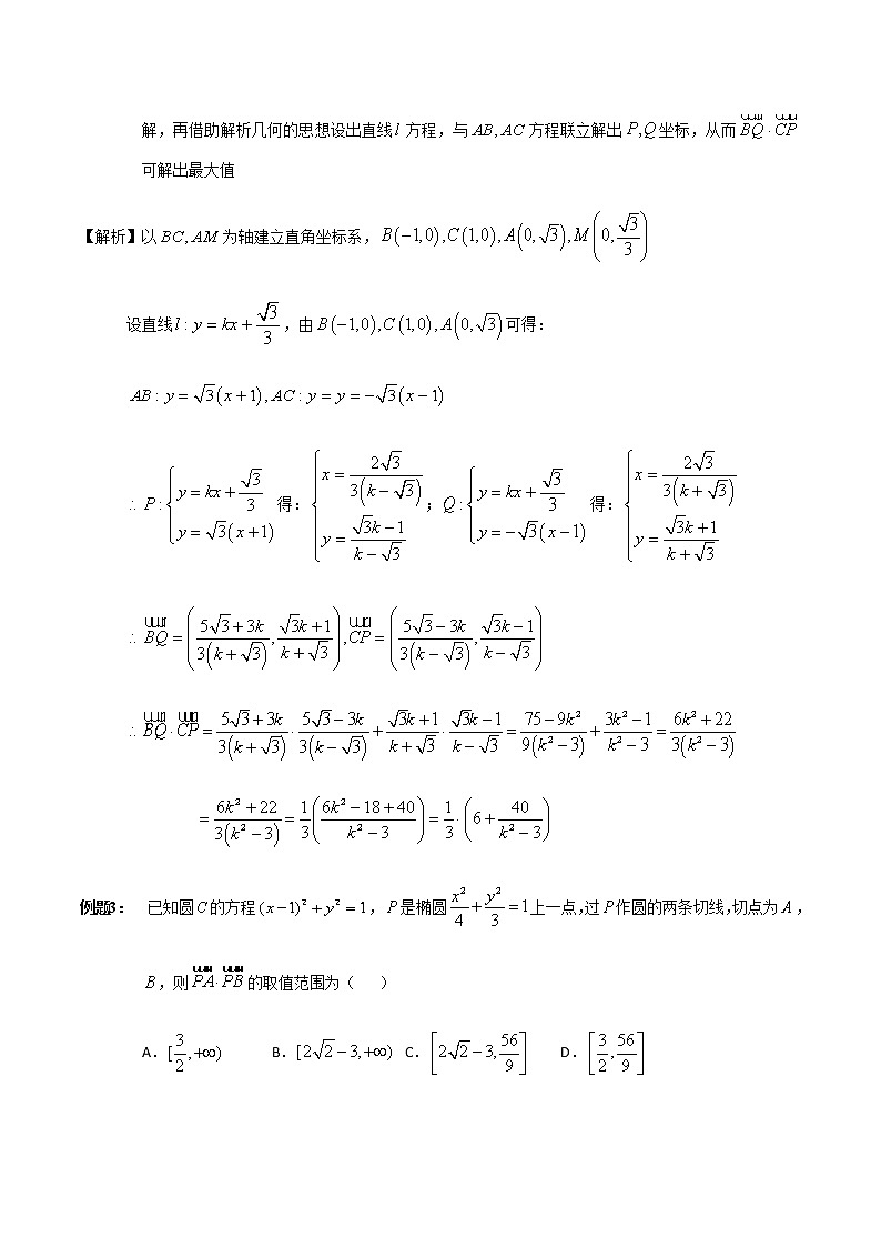
平面向量最值问题总结题型一数量积的最值问题例题1: 平面向量满足,则最小值是______分析:本题条件中有,而可利用向量数量积的投影定义得到在上的投影分别为1,2,通过作图可发现能够以的起点为原点,所在直线为轴建立坐标系,则起点在原点,终点分别在的直线上,从而可坐标化,再求出的最值即可【解析】如图建系可得: 由可得: 而,由轮换对称式不妨设,则 ,例题2: 已知点为等边三角形的中心,,直线过点交边于点,交边于点, 则的最大值为 . 【分析】本题由于为过的任一直线,所以的值不确定,从而不容易利用三边向量将进行表示,所以考虑依靠等边三角形的特点,建立直角坐标系,从而坐标可解,再借助解析几何的思想设出直线方程,与方程联立解出坐标,从而可解出最大值【解析】以为轴建立直角坐标系, 设直线,由可得: 得:;得: 例题3: 已知圆的方程,是椭圆上一点,过作圆的两条切线,切点为, ,则的取值范围为( )A. B. C. D.【解析】,设,设,的取值范围为,故选C例题4: 已知△中,,,()的最小值为,若为 边上任意一点,则的最小值是 【解析】令==++=,当时,=,因为,所以,则建立直角坐标系,,,设,则,,所以==;当时,=+≥,解得,所以,则建立直角坐标系,,,设,则,,所以==.综上所述,当时,取得最小值题型二向量模长的最值问题例题5: 已知为单位向量,且,向量满足,则范围为 【解析】如图,,又例题6: 向量满足 与的夹角为,,则的最大 值为( )【分析】根据已知条件可建立直角坐标系,用坐标表示有关点(向量),确定变量满足的等式和目标函数的解析式,结合平面几何知识求最值或范围.【解析】设;以OA所在直线为x,O为坐标原点建立直角坐标系∵ 与的夹角为,则A(4,0),B(2,2),设C(x,y)∵,∴x2+y2-6x-2y+9=0,即(x-3)2+(y-1)2=1表示以(3,1)为圆心,以1为半径的圆,表示点A,C的距离即圆上的点与点A(4,0)的距离.∵圆心到B的距离为,∴的最大值为题型三向量夹角的最值问题例题7: 已知非零向量满足,若函数 在R 上存在极值,则 和夹角的取值范围为 【解析】,设和夹角为,因为有极值,所以,即,即,所以例题8: 已知向量满足,且关于的函数在实数集上单 调递增,则向量的夹角的取值范围是( )A. B. C. D.题型四平面向量系数的最值问题例题9: 已知,,且与的夹角为锐角,则的取值范围是 【分析】与的夹角为锐角等价于,且与不共线同向,所以由,得,再除去与共线同向的情形.【解析】由于与的夹角为锐角,,且与不共线同向,由,解得,当向量与共线时,得,得,因此的取值范围是且.例题10: 已知是的重心,过点作直线与,交于点,且, ,,则的最小值是 【解析】如图 三点共线, ∵是的重心, 解得, 结合图象可知 令 故 故,当且仅当等号成立例题11: 如右图所示,已知点是的重心,过点作直线与两边分别交于两点, 且,则的最小值为 【解析】因为三点共线,所以,因为是重心,, 所以,化简得,解得题目所给图像可知.由基本不等式得即.当且仅当,即时,等号成立,故最小值为.例题12: 直角梯形中,,,是边长为的正三角形,是平面上的动点,,设(,),则的最大值为________ 【解析】以为原点,为轴,所在直线为轴,建立直角坐标系,∴可设, 因为,所以 , ,即的最大值为故答案为.
题型五平面向量与三角函数相结合的最值问题例题13: 已知向量,,.(1)若,求的值;(2)记,求的最大值和最小值以及对应的的值.【解析】(1)因为,,,所以.若,则,与矛盾,故.于是.又,所以.(2).因为,所以,从而.于是,当,即时,取到最大值3;当,即时,取到最小值题型六平面向量与二次函数相结合的最值问题例题18: 在平面直角坐标系中,已知点,,,是轴上的两个动点,且, 的最小值为______.【解析】设,,所以,当时,取得最小值.例题19: 在四边形中,,,,,,点在线段 的延长线上,且,点在边所在直线上,则的最大值为( )A. B. C. D.【分析】如图以为坐标原点建立平面直角坐标系,表示出点的坐标,根据求出的坐标,求 边所在直线的方程,设,利用坐标表示,根据二次函数性质求最大值.【解析】依题意,如图以为坐标原点建立平面直角坐标系,由,,,,,,,,因为点在线段的延长线上,设,,解得,,,,所在直线的方程为 ,因为点在边所在直线上,故设,,当时故选:【小结】本题考查向量的数量积,关键是建立平面直角坐标系,属于中档题题型七平面向量与基本不等式相结合的最值问题例题20: 若平面向量,满足:;则的最小值是.【解析】,例题21: 在等腰梯形中,已知,,,.动点和分别在线段和上,且,,则的最小值为 .【解析】 因为,,,,, 当且仅当即时的最小值为例题22: 已知点A在线段BC上(不含端点),O是直线BC外一点,且,则的最小值是___________【分析】本题根据条件构造,研究的式子分别加1后变形,即可形成所需条件,应用均值不等式.【解析】由可得, ,根据A、B、C三点共线可得且,所以所以最小值为,故填.题型八平面向量与圆相结合的最值问题例题23: 在平面直角坐标系中,为原点,动点满足,则的最大值是 .【解析】设,由,得,向量,故的最大值为圆上的动点到点距离的最大值,其最大值为圆的圆心到点的距离加上圆的半径,即.例题24: 已知是单位向量,.若向量满足,则的最大值为A. B. C. D.【解析】建立平面直角坐标系,令向量的坐标,又设,代入得,又的最大值为圆上的动点到原点的距离的最大值,即圆心(1,1)到原点的距离加圆的半径,即.例题25: 若过点的直线与相交于两点,则取值范围______【解析】本题中因为位置不断变化,所以不易用数量积定义求解,可考虑利用投影,即过作直线的垂线,垂足为,通过旋转可发现,当时,,位于其他位置时,点始终位于的反向延长线上,,故,故,下面寻找最小值,即的最大值,可得当在上的投影与重合时,最大,即为,此时直线即为直线。所以。进而的范围是例题26: 已知,且的夹角为,点是的外接圆上优弧上的一个动点,则的最大值是________【分析】题中的模长为定值,考虑即为乘以在上的投影,从而的最大值只需寻找投影的大小,观察图形可得只有当与同向时,投影最大。即,只需计算的模长即可【解析】当与同向时,在上的投影最大,在中,, 即 ,题型九 平面向量与三角形相结合的最值问题例题27: 在中,已知,,,则的面积的最大值为( )A. B. C. D.【分析】,而又由余弦定理可得,再利用基本不等式即可解决.【解析】在中,由,及余弦定理可得,又(当且仅当时取等号),所以,即.因为,所以为的中点,所以的面积,所以,所以的面积的最大值为.故选:B.【小结】本题考查余弦定理解三角形,涉及到基本不等式求最值,考查学生运算求解能力,是一道中档题.例题28: 已知平面向量满足 ,且与的夹角为,则的取值范围是___________【分析】本题很难找到与数量积相关的条件,那么考虑利用图形辅助求解。从图中可观察到构成,,从而可利用正余弦定理求出即的取值范围【解析】在中,由正弦定理可得: 而 真题赏析【2019年高考浙江卷】已知正方形的边长为1,当每个取遍时,的最小值是________;最大值是_______.【解析】以分别为x轴、y轴建立平面直角坐标系,如图.则,令0.又因为可取遍,所以当时,有最小值.因为和的取值不相关,或,所以当和分别取得最大值时,y有最大值,所以当时,有最大值.故答案为0;.【小结】对于此题需充分利用转化与化归思想,从“基向量”入手,最后求不等式最值,是一道向量和不等式的综合题.
(2017新课标Ⅲ)在矩形中,,,动点在以点为圆心且与相切的圆上.若,则的最大值为A.3 B. C. D.2【解析】如图建立直角坐标系,则,,,,由等面积法可得圆的半径为,所以圆的方程为,所以,,,由,得,所以=,设,即,点在圆上,所以圆心到直线的距离小于半径,所以,解得,所以的最大值为3,即的最大值为3,选A.(2017新课标Ⅱ)已知是边长为2的等边三角形,为平面内一点,则的最小值是A. B. C. D.【解析】如图,以为轴,的垂直平分线为轴,为坐标原点建立平面直角坐标系,则,,,设所以,,所以 ,当时,所求的最小值为,故选B.(2018浙江)已知,,是平面向量,是单位向量.若非零向量与的夹角为,向量满足,则的最小值是( )A. B. C.2 D.解法一:设为坐标原点,,,,由得,即,所以点的轨迹是以为圆心,l为半径的圆.因为与的夹角为,所以不妨令点在射线()上,如图,数形结合可知.故选A.解法二:由得.设,,,所以,,所以,取的中点为.则在以为圆心,为直径的圆上,如图.设,作射线,使得,所以.故选A.模块三、模拟题汇编1.在平面内,定点A,B,C,D满足 ==,===2,动点P,M满足=1,=,则的最大值是A. B. C. D.【解析】由知,为的外心.由== 知为的内心,所以为正三角形,易知其边长为,取的中点,因为是的中点,所以,所以,则.故选B.2.已知点在圆上运动,且.若点的坐标为,则的最大值为A.6 B.7 C.8 D.9【解析】由题意得,AC为圆的直径,故可设,,,∴而,∴的最大值为,故选B.3.(2020·四川省绵阳南山中学高三)点是单位圆上不同的三点,线段与线段交于圆内一点M,若,则的最小值为( ) A. B. C. D.【分析】由题意得,再利用基本不等式即可求解.【解析】将平方得,(当且仅当时等号成立),,的最小值为,故选:D.【小结】本题主要考查平面向量数量积的应用,考查基本不等式的应用,属于中档题.
4.(2020·内蒙古高三)已知等边△ABC内接于圆:x2+ y2=1,且P是圆τ上一点,则的最大值是( )A. B.1 C. D.2【分析】如图所示建立直角坐标系,设,则,计算得到答案.【解析】如图所示建立直角坐标系,则,,,设,则.当,即时等号成立.故选:.【小结】本题考查了向量的计算,建立直角坐标系利用坐标计算是解题的关键.5.已知, , ,若点是所在平面内一点,且 ,则 的最大值等于A.13 B.15 C.19 D.21【解析】以题意,以点为坐标原点,以所在的直线为轴,所在的直线为 轴建立如图所示的平面直角坐标系,所以点,,,所以=(当且仅当,即时取等号),所以的最大值为13.6.设为两个非零向量,的夹角,已知对任意实数,是最小值为1A.若确定,则唯一确定 B.若确定,则唯一确定C.若确定,则唯一确定 D.若确定,则唯一确定【解析】由于,令,而是任意实数,所以可得的最小值为,即,则知若确定,则唯一确定.7.设,为单位向量,非零向量,,若,的夹角为,则的最大值等于________.【解析】,所以的最大值为2.8.已知向量,,,若对任意单位向量,均有,则的最大值是 .【解析】由题意令,,,则由 可得 ①,令 ②得对一切实数恒成立,所以.故.故最大值为.9.已知向量,满足,,则的最小值是 ,最大值是 .【解析】设向量的夹角为,由余弦定理有,,则,令,则,据此可得:,即的最小值是4,最大值是.10.设向量(I)若,求的值;(II)设函数,求的最大值.【解析】(I)由,,及,又,所以.(II)=.当所以
相关试卷
这是一份2024年高考数学重难点突破讲义:微切口5 圆锥曲线中最值与范围问题,共7页。
这是一份专题24 平面向量中最值、范围问题-(原卷版),文件包含三角函数及解三角形大题专题练习卷参考答案doc、三角函数及解三角形专题卷docx等2份试卷配套教学资源,其中试卷共21页, 欢迎下载使用。
这是一份高中数学最全归纳平面向量中的范围与最值问题(解析版),共57页。

