所属成套资源:新教材人教A版必修第一册【学案+同步课件】
高中数学人教A版 (2019)必修 第一册5.7 三角函数的应用图片ppt课件
展开
这是一份高中数学人教A版 (2019)必修 第一册5.7 三角函数的应用图片ppt课件,文件包含§57第2课时三角函数的应用二pptx、§57第2课时三角函数的应用二docx等2份课件配套教学资源,其中PPT共60页, 欢迎下载使用。
第2课时 三角函数的应用(二)
第五章 §5.7 三角函数的应用
学习目标
1.通过构建三角函数模型解决生活中一些简单的问题.
2.体会三角函数是描述周期变化现象的重要函数模型.
内容索引
三角函数图象类问题
一
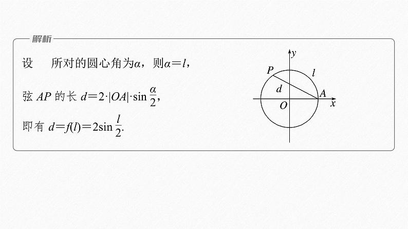
如图所示,设点A是单位圆上的一定点,动点P从点A出发在圆上按逆时针方向旋转一周,点P所旋转过的 的长为l,弦AP的长为d,则函数d=f(l)的图象大致是
√
反思感悟
解决函数图象与实际问题对应问题的策略:一般方法是根据已知所反映出来的性质解决,充分利用图象中的几何关系.此外特殊点也可以作为判断的好方法.
√
三角函数在生活中的应用
二
t∈[0,24],
所以f(t)在[0,24]上的最大值为12,最小值为8.故实验室这一天的最高温度为12 ℃,最低温度为8 ℃,最大温差为4 ℃.
(2)若要求实验室温度不高于11 ℃,则在哪段时间实验室需要降温?
依题意,得当f(t)>11时实验室需要降温.
故在10时至18时实验室需要降温.
反思感悟
解三角函数应用问题的基本步骤
健康成年人的收缩压和舒张压一般为120~140 mmHg和60~90 mmHg.心脏跳动时,血压在增加或减小.血压的最大值、最小值分别称为收缩压和舒张压,血压计上的读数就是收缩压和舒张压,读数120/80 mmHg为标准值.记某人的血压满足函数式p(t)=25sin 160πt+115,其中p(t)为血压(mmHg),t为时间(min),试回答下列问题:(1)求函数p(t)的周期;
(2)求此人每分钟心跳的次数;
即此人每分钟心跳的次数为80.
(3)求出此人的血压在血压计上的读数,并与正常值比较.
p(t)max=115+25=140(mmHg),p(t)min=115-25=90(mmHg),即收缩压为140 mmHg,舒张压为90 mmHg.此人的血压在血压计上的读数为140/90 mmHg,在正常值范围内.
三角函数在几何中的应用
三
甲同学从一个半径为r的半圆形铁板中截取一块矩形ABCD,记其最大面积为S甲,乙同学从一个半径为R的圆形铁板中截取一块矩形EFGH,记其最大面积为S乙,试问r和R满足什么关系时,S甲=S乙?说明理由.
如图所示,甲图中,O是半圆圆心,设∠COD=θ,则CD=rsin θ,OC=rcos θ,S矩形ABCD=2OC·CD=2rcos θ·rsin θ=r2sin 2θ,
乙图中,设∠EGF=α,则EF=2Rsin α,则FG=2Rcos α,S矩形EFGH=EF·FG=2Rcos α·2Rsin α=2R2sin 2α,
反思感悟
利用三角函数解决几何问题,首先要审清题意,然后要明确角的取值范围,最后一定要回归到实际问题当中去.
如图,在矩形OABC中,AB=1,OA=2,以B为圆心、BA为半径在矩形内部作弧,点P是弧上一动点,PM⊥OA,垂足为M,PN⊥OC,垂足为N,则四边形OMPN的周长的最小值为___________.
则PM=1-sin α,PN=2-cos α,周长C=6-2(sin α+cos α),因为(sin α+cos α)2=1+2sin αcos α=1+sin 2α,所以要让周长最小,即让sin α+cos α最大,即sin 2α最大,
课堂小结
1.知识清单: (1)三角函数在生活中的应用. (2)三角函数在几何中的应用.2.方法归纳:数学建模、数形结合.3.常见误区:选择三角函数模型时,最后结果忘记回归实际问题.
随堂演练
√
1
2
3
4
1.函数y=x+sin |x|,x∈[-π,π]的大致图象是
A.5 B.6C.8 D.10
1
2
3
4
√
根据图象得函数的最小值为2,有-3+k=2,k=5,最大值为3+k=8.
√
1
2
3
4
1
2
3
4
由题意知当t=14时,f(t)=7.
1
2
3
4
4.某星星的亮度变化周期为10天,此星星的平均亮度为3.8星等,最高亮度距离平均亮度0.2星等,则可近似地描述此星星的亮度与时间之间关系的一个三角函数为_____________________.
设所求函数为y=Asin(ωt+φ)+b,
课时对点练
√
1
2
3
4
5
6
7
8
9
10
11
12
13
14
15
16
1
2
3
4
5
6
7
8
9
10
11
12
13
14
15
16
2.商场人流量被定义为每分钟通过入口的人数,五一某商场的人流量满足函数F(t)=50+4sin (t≥0),则下列时间段内人流量是增加的是A.[0,5] B.[5,10] C.[10,15] D.[15,20]
√
1
2
4
5
6
7
8
9
10
11
12
13
14
15
16
3
1
2
3
4
5
6
7
8
9
10
11
12
13
14
15
16
√
3.如图,圆O的半径为1,A是圆上的定点,P是圆上的动点,角x的始边为射线OA,终边为射线OP,过点P作直线OA的垂线,垂足为M,将点M到直线OP的距离表示为x的函数f(x),则y=f(x)在[0,π]上的图象大致为
1
2
3
4
5
6
7
8
9
10
11
12
13
14
15
16
如图,过点M作MD⊥OP于点D,则由题意可得PM=sin x,OM=|cos x|,
1
2
4
5
6
7
8
9
10
11
12
13
14
15
16
√
3
1
2
4
5
6
7
8
9
10
11
12
13
14
15
16
3
√
1
2
4
5
6
7
8
9
10
11
12
13
14
15
16
3
5.如图是一个半径为3米的水轮,水轮的圆心O距离水面2米,已知水轮每分钟旋转4圈,水轮上的点P到水面的距离y(米)与时间t(秒)满足关系式y=Asin(ωt+φ)+2,则
6.(多选)如图,一个水轮的半径为6 m,水轮轴心O距离水面的高度为3 m,已知水轮按逆时针匀速转动,每分钟转动5圈,当水轮上点P从水中浮现时的起始(图中点P0)开始计时,记f(t)为点P距离水面的高度关于时间t(s)的函数,则下列结论正确的是A.f(3)=9B.f(1)=f(7)C.若f(t)≥6,则t∈[2+12k,5+12k](k∈N)D.不论t为何值,f(t)+f(t+4)+f(t+8)是定值
√
1
2
4
5
6
7
8
9
10
11
12
13
14
15
16
3
√
1
2
4
5
6
7
8
9
10
11
12
13
14
15
16
3
1
2
4
5
6
7
8
9
10
11
12
13
14
15
16
3
所以点P距离水面的高度关于时间t(s)的函数为
所以f(1)=f(7),选项B正确;
1
2
4
5
6
7
8
9
10
11
12
13
14
15
16
3
展开整理得f(t)+f(t+4)+f(t+8)=9为定值,选项D正确.
1
2
4
5
6
7
8
9
10
11
12
13
14
15
16
3
5
1
2
4
5
6
7
8
9
10
11
12
13
14
15
16
3
由图象可知,A=10,
1
2
4
5
6
7
8
9
10
11
12
13
14
15
16
3
8.如图表示相对于平均海平面的某海湾的水面高度h(米)在某天0~24时的变化情况,则水面高度h关于时间t的函数关系式为______________________.
1
2
4
5
6
7
8
9
10
11
12
13
14
15
16
3
设h=Asin(ωt+φ),由图象知A=6,T=12,
点(6,0)为五点法作图中的第一点,
1
2
4
5
6
7
8
9
10
11
12
13
14
15
16
3
9.通常情况下,同一地区一天的温度随时间变化的曲线接近函数y=Asin(ωx+φ)+b的图象.某年2月下旬某地区连续几天最高温度都出现在14时,最高温度为14 ℃;最低温度出现在凌晨2时,最低温度为零下2 ℃.(1)求出该地区该时段的温度函数y=Asin(ωx+φ)+b(A>0,ω>0,|φ|0,所以令k=1,
A.5:00至5:30 B.5:30至6:00C.6:00至6:30 D.6:30至7:00
1
2
4
5
6
7
8
9
10
11
12
13
14
15
16
3
15.海水受日月的引力,在一定的时候发生潮涨潮落,船只一般涨潮时进港卸货,落潮时出港航行.某船吃水深度(船底与水面距离)为4米,安全间隙(船底与海底距离)为1.5米,该船在2:00开始卸货,吃水深度以0.3米/时的速度减少,该港口某季节每天几个时刻的水深如下表所示,若选择y=Asin(ωx+φ)+K(A>0,ω>0)拟合该港口水深与时间的函数关系,则该船必须停止卸货驶离港口的时间大概控制在(要考虑船只驶出港口需要一定时间)
√
1
2
4
5
6
7
8
9
10
11
12
13
14
15
16
3
1
2
4
5
6
7
8
9
10
11
12
13
14
15
16
3
设在时刻x时货船的安全水深为y米,那么y=5.5-0.3(x-2)(x≥2).在同一直角坐标系内画出这两个函数的图象,可看到在6~7时之间两个函数图象有一个交点,则该船必须停止卸货驶离港口的时间大概控制在6:00~6:30之间.
1
2
4
5
6
7
8
9
10
11
12
13
14
15
16
3
16.据市场调查,某种商品一年内每月的价格满足函数关系式:f(x)=Asin(ωx+φ)+B ,x为月份.已知3月份该商品的价格首次达到最高,为9万元,7月份该商品的价格首次达到最低,为5万元.(1)求f(x)的解析式;
1
2
4
5
6
7
8
9
10
11
12
13
14
15
16
3
1
2
4
5
6
7
8
9
10
11
12
13
14
15
16
3
1
2
4
5
6
7
8
9
10
11
12
13
14
15
16
(2)求此商品的价格超过8万元的月份.
3
1
2
4
5
6
7
8
9
10
11
12
13
14
15
16
3
又1≤x≤12,x∈N*,∴x=2,3,4,10,11,12.即2月份、3月份、4月份、10月份、11月份、12月份此商品的价格超过8万元.
相关课件
这是一份高中数学人教A版 (2019)选择性必修 第一册1.4 空间向量的应用背景图ppt课件
这是一份高中数学人教A版 (2019)必修 第一册1.1 集合的概念示范课课件ppt,文件包含§11第2课时集合的表示pptx、§11第2课时集合的表示docx等2份课件配套教学资源,其中PPT共58页, 欢迎下载使用。
这是一份高中数学人教A版 (2019)必修 第一册5.1 任意角和弧度制评课课件ppt,文件包含551第4课时二倍角的正弦余弦正切公式pptx、551第4课时二倍角的正弦余弦正切公式docx等2份课件配套教学资源,其中PPT共60页, 欢迎下载使用。

