所属成套资源:2023省哈尔滨六中高三上学期8月月考及答案(九科)
2023省哈尔滨六中高三上学期8月月考数学试题PDF版含答案
展开
这是一份2023省哈尔滨六中高三上学期8月月考数学试题PDF版含答案,文件包含黑龙江省哈尔滨市第六中学2022-2023学年高三8月月考数学答案docx、黑龙江省哈尔滨市第六中学2022-2023学年高三8月月考数学试题pdf等2份试卷配套教学资源,其中试卷共7页, 欢迎下载使用。
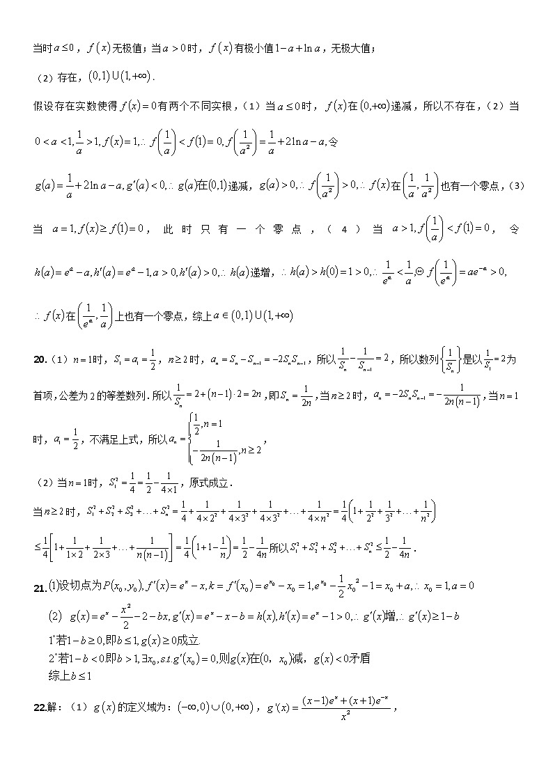
数学答案一.单选题 1.C 2.C 3.B 4.D 5.D 6.C 7. B 8.A二.多选题 9.AC 10.CD 11.ABC 12.ACD三.填空题 13. 14. 42 15. 16.四.解答题17.(1) 因为,均为锐角,所以.又,,所以,.所以18.(1)由条件可知:,,,,;(2)由第(1)问可知,,当时,,当时,,当时,,当时,,以上各式相加,得,,,,即;(3)由第(1)、(2)问知,,,则,设数列的通项公式,前项和为,则,,两式相减,得,,数列的前项和.19.(1)定义域为,当时,递减,无极值。当时,令递减,在递增,有极小值,综上,当时,无极值;当时,有极小值,无极大值;(2)存在,. 假设存在实数使得有两个不同实根,(1)当时,在递减,所以不存在,(2)当令递减,在也有一个零点,(3)当,此时只有一个零点,(4)当,令递增,在上也有一个零点,综上20.(1)时,,时,,所以,所以数列是以为首项,公差为的等差数列.所以,即,当时,,当时,,不满足上式,所以,(2)当时,,原式成立.当时, 所以.21.22.解:(1)的定义域为:,,设,则,当时,;,,所以,单调递增,又,所以上,上所以,的减区间为,增区间为;(2)①,,令,则令,,由,,,所以,在递减;在递增.即:在递减;在递增.又,所以,存在,使得,从而有,在递减;在递增,在定义域内有唯一的零点.②证明:,在递增,,所以,,,设,
相关试卷
这是一份2024内江六中高三上学期第一次月考文科数学试题PDF版含答案,共5页。试卷主要包含了填空题,解答题等内容,欢迎下载使用。
这是一份2024内江六中高三上学期第一次月考理科数学试题PDF版含答案,共5页。试卷主要包含了DADBCA等内容,欢迎下载使用。
这是一份2024内江六中高三上学期第一次月考理科数学试题PDF版含答案,共11页。试卷主要包含了DADBCA等内容,欢迎下载使用。

