高中数学人教A版 (2019)选择性必修 第一册3.1 椭圆课前预习ppt课件
展开如何精确地设计、制作、建造出现实生活中这些椭圆形的物件呢?
注意:椭圆定义中容易遗漏的三处地方: (1) 必须在平面内; (2)两个定点---两点间距离确定;(常记作2c) (3)绳长---轨迹上任意点到两定点距离和确定. (常记作2a, 且2a>2c)
若2a=F1F2轨迹是什么呢?
若2a
(1)建立适当的坐标系,用有序实数对(x,y)表示曲线上任意一点M的坐标;(2)写出适合条件 P(M);(3)用坐标表示条件P(M),列出方程; (4)化方程为最简形式;(5)证明以化简后的方程为所求方程(可以省略不写,如有特殊情况,可以适当予以说明)
♦ 探讨建立平面直角坐标系的方案
原则:尽可能使方程的形式简单、运算简单; (一般利用对称轴或已有的互相垂直的线段所在的直线作为坐标轴.)
解:取过焦点F1、F2的直线为x轴,线段F1F2的垂直平分线为y轴,建立平面直角坐标系(如图).
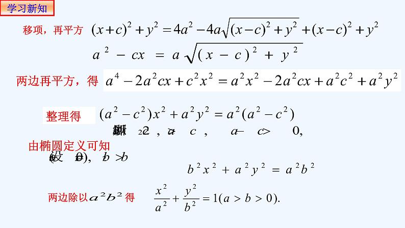
设M(x, y)是椭圆上任意一点,椭圆的焦距2c(c>0),M与F1和F2的距离的和等于正常数2a (2a>2c) ,则F1、F2的坐标分别是(c,0)、(c,0) .
(问题:下面怎样化简?)
由椭圆的定义得,限制条件:
如果椭圆的焦点在y轴上,那么椭圆的标准方程又是怎样的呢?
总体印象:对称、简洁,“像”直线方程的截距式
|MF1|+|MF2|=2a (2a>2c>0)
共同点:椭圆的标准方程表示的一定是焦点在坐标轴上,中心在坐标原点的椭圆; 方程的左边是平方和,右边是1.
练习1.下列方程哪些表示椭圆?
你还能用其他方法求它的标准方程吗?试比较不同方法的特点.
例2:已知一个运油车上的贮油罐横截面的外轮廓线是一个椭圆,它的焦距为2.4m,外轮廓线上的点到两个焦点距离的和为3m,求这个椭圆的标准方程。
解:以两焦点 所在直线为x轴,线段 的垂直平分线为y轴,建立平面直角坐标系xOy。
则这个椭圆的标准方程为:
根据题意:2a=3,2c=2.4,
所以:b2=1.52-1.22=0.81
因此,这个椭圆的方程为:
练习2.求适合下列条件的椭圆的标准方程:
(2)焦点为F1(0,-3),F2(0,3),且a=5;
(1)a= ,b=1,焦点在x轴上;
(3)两个焦点分别是F1(-2,0)、F2(2,0),且过P(2,3)点;
(4)经过点P(-2,0)和Q(0,-3).
小结:求椭圆标准方程的步骤:
①定位:确定焦点所在的坐标轴;
②定量:求a, b的值.
练习3. 已知椭圆的方程为: ,请填空:(1) a=__,b=__,c=__,焦点坐标为__________,焦距等于__.(2)若C为椭圆上一点,F1、F2分别为椭圆的左、右焦点, 并且CF1=2,则CF2=___.
(-3,0)、(3,0)
求美意识, 求简意识,前瞻意识
数学3.1 椭圆优质课ppt课件: 这是一份数学3.1 椭圆优质课ppt课件,共16页。PPT课件主要包含了b2a2c2等内容,欢迎下载使用。
高中人教A版 (2019)3.1 椭圆精品课件ppt: 这是一份高中人教A版 (2019)3.1 椭圆精品课件ppt,共17页。PPT课件主要包含了生活中的椭圆,轨迹是一条线段,轨迹不存在,坐标法,方案一,求椭圆的方程,代入坐标,由椭圆定义可知,整理得,两边再平方得等内容,欢迎下载使用。
高中数学人教A版 (2019)选择性必修 第一册3.1 椭圆精品课件ppt: 这是一份高中数学人教A版 (2019)选择性必修 第一册3.1 椭圆精品课件ppt,共9页。PPT课件主要包含了情境导入,知识海洋,椭圆的定义,应用探究,椭圆的标准方程,求椭圆的标准方程等内容,欢迎下载使用。

