2022高考数学三轮冲刺回归课本系列
展开
这是一份2022高考数学三轮冲刺回归课本系列,文件包含冲刺一回归教材速补短板不失分pptx、冲刺二二级结论高效解题快得分pptx、冲刺三压轴大题有舍有得多抢分pptx等3份课件配套教学资源,其中PPT共146页, 欢迎下载使用。
高考是选拔性的考试,试卷中必然要有综合考查数学知识、数学思想的能力型试题,即压轴题.对大部分考生来说,如何从压轴题中分段得分,是考生高考数学能否取得高分的重要手段和技巧,对此可采用如下三个策略达到高分的目的.
策略1 缺步解答——能做多少做多少
遇到不会做的压轴解答题,将它们分解为一系列的步骤,或者是一个个小问题,先解决问题的一部分,能解决多少就解决多少,能写几步就写几步.特别是那些解题层次明显的题目,每一步演算到得分点时都可以得分,最后结论虽然未得出,却能得到大部分分数.
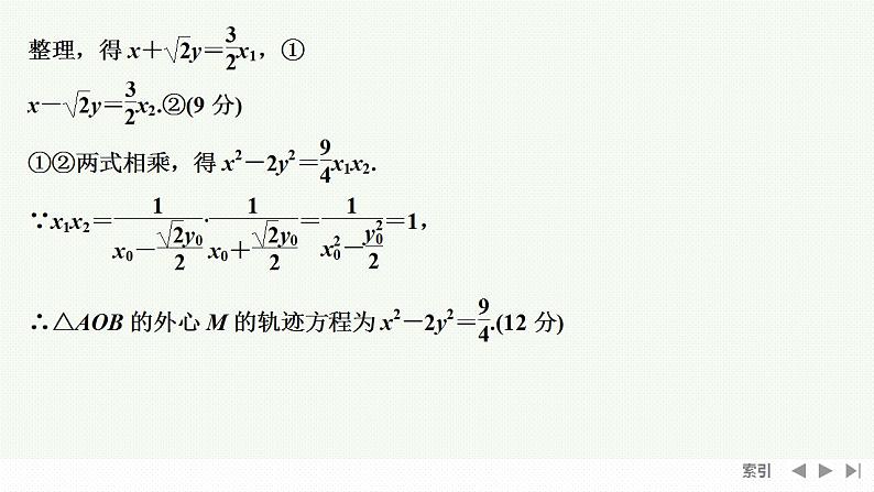
(1)求双曲线的方程;
方法二 设△AOB的外心M的坐标为(x,y).
[抢分有术] 对于压轴解答题,得满分不易,得大部分分数还是不难的.第一问,只要利用离心率公式及变形得到a,b之间的关系得2分,利用渐近线方程、点到直线的距离公式得到b的值再得2分,进而得出a的值、写出双曲线方程再得1分(这便得到5分).第二问,把点P0(x0,y0)代入双曲线方程是很容易想到的,把所给直线方程(实际上是双曲线在点P0处的切线方程)分别与双曲线的两渐近线方程联立,用x0,y0表达出两交点的横坐标,再得2分(这样就得到7分),即使后面继续求解没有思路,也得到了本题大部分分数.
策略2 逆向解答——此路不通另想法
对一个问题正面思考发生思维受阻时,用逆向思维的方法去探求新的解题途径,往往能得到突破性的进展.顺向推有困难就逆推,直接证有困难就反证.
【典例2】 (本小题满分12分)(2021·武汉联考)已知函数f(x)=ax+sin x,x∈(0,+∞).
(2)若f(x)≤xex恒成立,求实数a的取值范围.解 由f(x)≤xex在x∈(0,+∞)上恒成立,得ax+sin x≤xex,即(xex-x)+(x-sin x)≥ax在x∈(0,+∞)上恒成立(*).令g(x)=xex-x(x>0),m(x)=x-sin x(x>0),则g′(x)=(x+1)ex-1>0(x>0),m′(x)=1-cs x≥0(x>0),所以当x>0时,g(x)>g(0)=0,m(x)>m(0)=0,所以当a≤0时,(*)式恒成立.(8分)(反证法)
若a>0,令h(x)=xex-sin x-ax,则h(0)=0,h′(x)=(x+1)ex-cs x-a,h′(0)=-a0),则F′(x)=(x+2)ex+sin x>0(x>0),∴h′(x)在(0,+∞)上单调递增,∴存在t>0,使h′(t)
相关课件
这是一份专题十 不等式选讲——2022届高考理科数学三轮冲刺专项课件 (1),共32页。PPT课件主要包含了一考点解读,二核心知识整合,典型例题,『规律总结』,跟踪训练等内容,欢迎下载使用。
这是一份专题十 不等式选讲——2022届高考理科数学三轮冲刺专项课件,共32页。PPT课件主要包含了一考点解读,二核心知识整合,典型例题,『规律总结』,跟踪训练等内容,欢迎下载使用。
这是一份2022届高考数学三轮冲刺课之解答题2 立体几何课件,共41页。PPT课件主要包含了解答题,三角函数与解三角形,立体几何,统计与概率,函数与导数,极坐标与参数方程,高考冲刺分析,本节说明,题型专练1,题型专练2等内容,欢迎下载使用。

