苏教版 (2019)7.2 三角函数概念习题ppt课件
展开午练22 同角三角函数关系及诱导公式
1.已知sin α,cos α是方程3x2-2x+a=0的两根,则实数a的值为( )
A. B.-
C. D.-
答案 B
解析 由题意
∵sin2 α+cos2α=1,
∴sin2α+cos2α=(sin α+cos α)2-2sin αcos α=-=1,∴a=-,
此时Δ>0,符合题意.故选B.
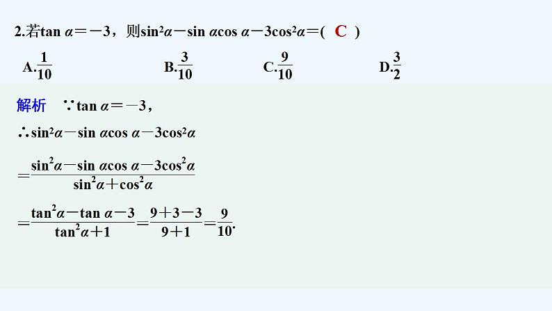
2.若tan α=-3,则sin2α-sin αcos α-3cos2α=( )
A. B.
C. D.
答案 C
解析 ∵tan α=-3,
∴sin2α-sin αcos α-3cos2α
=
===.
3.若=,则tan θ=( )
A.1 B.-1
C.3 D.-3
答案 D
解析 ∵
===,
∴tan θ=-3,选D.
4.黄金分割率的值φ也可以用2sin 18°表示,则sin 288°=( )
A.- B.
C.- D.
答案 A
解析 由题意得φ=2sin 18°,
∴sin 288°=sin(270°+18°)=-cos 18°
=-=-.故选A.
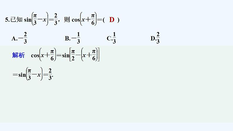
5.已知sin=,则cos=( )
A.- B.-
C. D.
答案 D
解析 cos=sin
=sin=.
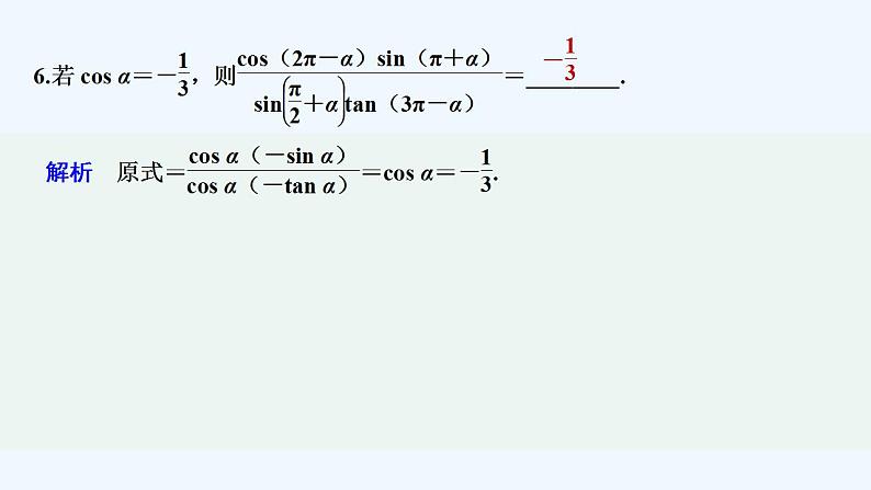
6.若cos α=-,则=________.
答案 -
解析 原式==cos α=-.
7.若A,B是锐角三角形△ABC的两内角,则点P(cos B-sin A,sin B-cos A)在第________象限.
答案 二
解析 由题意A+B>,
∴0<-B<A<,
∴即
故cos B-sin A<0,sin B-cos A>0,
∴P点在第二象限.
8.已知α为锐角且2tan(π-α)-3sin(-β)+5=0,tan(π+α)+6sin(π+β)-1=0,则sin α=________.
答案
解析 由2tan(π-α)-3sin(-β)+5=0,
可得2tan α-3sin β-5=0.①
由tan(π+α)+6sin(π+β)-1=0,
可得tan α-6sin β-1=0.②
由①×2-②得3tan α-9=0,∴tan α=3,
即=3,
又sin2α+cos2α=1,∴sin2α=,
又α为锐角,∴sin α=.
9.已知A=+(k∈Z),则所有A值构成的集合是________.
答案 {-2,2}
解析 当k为偶数时,A=2;当k为奇数时,A=-2.
10.已知sin θ,cos θ是关于x的方程x2-ax+a=0(a∈R)的两个根.
(1)求cos+sin的值;
(2)求tan(π-θ)-的值.
解 由已知得原方程的根的判别式Δ≥0,
即(-a)2-4a≥0,解得a≥4或a≤0.
根据根与系数的关系,得
由(sin θ+cos θ)2=1+2sin θcos θ,
得a2-2a-1=0,
解得a=1-或a=1+(舍去).
∴sin θ+cos θ=sin θcos θ=1-.
(1)cos+sin=sin θ+cos θ=1-.
(2)tan(π-θ)-=-tan θ-
=-
=-=-
=-=+1.
【最新版】高中数学(新苏教版)习题+同步课件午练6 椭圆: 这是一份【最新版】高中数学(新苏教版)习题+同步课件午练6 椭圆,文件包含午练6椭圆pptx、午练6椭圆doc等2份课件配套教学资源,其中PPT共16页, 欢迎下载使用。
【最新版】高中数学(新苏教版)习题+同步课件午练5 直线与圆、圆与圆的位置关系: 这是一份【最新版】高中数学(新苏教版)习题+同步课件午练5 直线与圆、圆与圆的位置关系,文件包含午练5直线与圆圆与圆的位置关系pptx、午练5直线与圆圆与圆的位置关系doc等2份课件配套教学资源,其中PPT共15页, 欢迎下载使用。
【最新版】高中数学(新苏教版)习题+同步课件午练4 圆的方程: 这是一份【最新版】高中数学(新苏教版)习题+同步课件午练4 圆的方程,文件包含午练4圆的方程pptx、午练4圆的方程doc等2份课件配套教学资源,其中PPT共13页, 欢迎下载使用。

