【最新版】高中数学(新教材人教版)必修第一册限时小练10 不等关系与不等式【习题+课件】
展开限时小练10 不等关系与不等式
1.在开山工程爆破时,已知导火索燃烧的速度是每秒厘米,人跑开的速度是每秒4米,为了使点燃导火索的人能够在爆破时跑到100米以外的安全区,导火索的长度x(厘米)应该满足的不等式为( )
A.4×2x≥100 B.4×2x≤100
C.4×2x>100 D.4×2x<100
答案 C
解析 当导火索的长度为x厘米时,燃烧的时间为2x秒,人跑开的距离为4×2x米,为了保证安全,有4×2x>100.
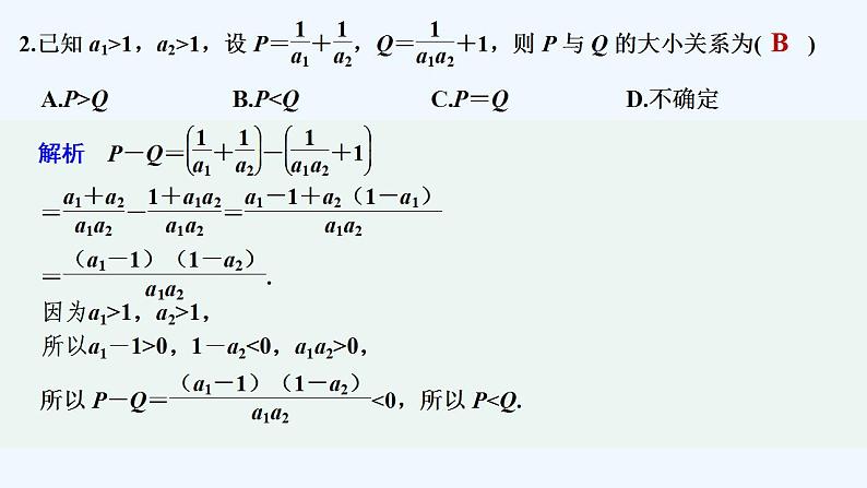
2.已知a1>1,a2>1,设P=+,Q=+1,则P与Q的大小关系为( )
A.P>Q B.P<Q
C.P=Q D.不确定
答案 B
解析 P-Q=-
=-=
=.
因为a1>1,a2>1,
所以a1-1>0,1-a2<0,a1a2>0,
所以P-Q=<0,
所以P<Q.
3.某单位组织职工去某地参观学习需包车前往.甲车队说:“如果领队买一张全票,其余人可享受7.5折优惠.”乙车队说:“你们属团体票,按原价的8折优惠.”这两个车队的原价、车型都是一样的,试根据单位去的人数比较两车队的收费哪家更优惠.
解 设该单位职工有n人(n∈N*),
全票价为x元,坐甲车需花y1元,坐乙车需花y2元,
则y1=x+x·(n-1)=x+nx,y2=nx.
所以y1-y2=x+nx-nx
=x-nx=x.
当n=5时,y1=y2;
当n>5时,y1<y2;
因n<5时,y1>y2.
因此当单位去的人数为5人时,两车队收费相同;多于5人时,甲车队更优惠;少于5人时,乙车队更优惠.

