高中数学人教A版 (2019)必修 第一册5.7 三角函数的应用习题ppt课件
展开限时小练57 三角函数的应用
1.稳定房价是我国近年实施宏观调控的重点,国家最近出台的一系列政策已对各地的房地产市场产生了影响.温州市某房地产中介对本市一楼盘在今年的房价作了统计与预测:发现每个季度的平均单价y(每平方米的价格,单位:元)与第x季度之间近似满足:y=500sin(ωx+φ)+9 500(ω>0),已知第一、二季度平均单价如下表所示:
x | 1 | 2 | 3 |
y | 10 000 | 9 500 | ? |
则此楼盘在第三季度的平均单价大约是( )
A.10 000元 B.9 500元
C.9 000元 D.8 500元
答案 C
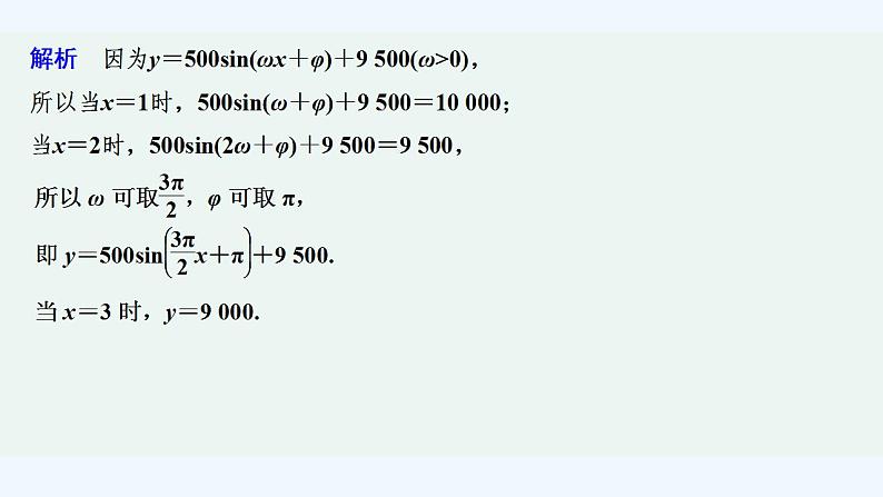
解析 因为y=500sin(ωx+φ)+9 500(ω>0),
所以当x=1时,500sin(ω+φ)+9 500=10 000;
当x=2时,500sin(2ω+φ)+9 500=9 500,
所以ω可取,φ可取π,
即y=500sin+9 500.
当x=3时,y=9 000.
2.如图所示,单摆从某点开始来回摆动,离开平衡位置O的位移s(cm)与时间t(s)的函数关系式为s=6sin,则单摆来回摆动一次所需的时间为 s.
答案 1
解析 因为单摆运动的周期为T==1,故单摆来回摆动一次所需时间为1 s.
3.已知电流I与时间t的关系为I=Asin(ωt+φ).
(1)如图所示的是I=Asin(ωt+φ)的部分图象,根据图中数据求I=Asin(ωt+φ)的解析式;
(2)如果t在任意一段秒的时间内,电流I=Asin(ωt+φ)都能取得最大值和最小值,那么ω的最小正整数值是多少?
解 (1)由题图知A=300,
设t1=,t2=,
则周期T=2(t2-t1)=2=.
∴ω==150π.又当t=时,I=0,
则sin=0,
而|φ|<,∴φ=.
故所求的解析式为I=300sin.
(2)依题意,周期T≤,
即≤(ω>0),∴ω≥300π>942,
又ω∈N*,故所求最小正整数ω=943.
人教A版 (2019)必修 第一册3.4 函数的应用(一)习题课件ppt: 这是一份人教A版 (2019)必修 第一册3.4 函数的应用(一)习题课件ppt,文件包含限时小练24函数的应用一pptx、限时小练24函数的应用一DOCX等2份课件配套教学资源,其中PPT共6页, 欢迎下载使用。
人教A版 (2019)必修 第一册3.4 函数的应用(一)习题课件ppt: 这是一份人教A版 (2019)必修 第一册3.4 函数的应用(一)习题课件ppt,文件包含限时小练16函数的概念一pptx、限时小练16函数的概念一DOCX等2份课件配套教学资源,其中PPT共5页, 欢迎下载使用。
2021学年5.6 函数 y=Asin( ωx + φ)习题ppt课件: 这是一份2021学年5.6 函数 y=Asin( ωx + φ)习题ppt课件,文件包含限时小练20函数的最大小值pptx、限时小练20函数的最大小值DOCX等2份课件配套教学资源,其中PPT共6页, 欢迎下载使用。

