高考数学一轮复习第2章函数导数及其应用第2讲函数的定义域值域学案
展开
这是一份高考数学一轮复习第2章函数导数及其应用第2讲函数的定义域值域学案,共11页。
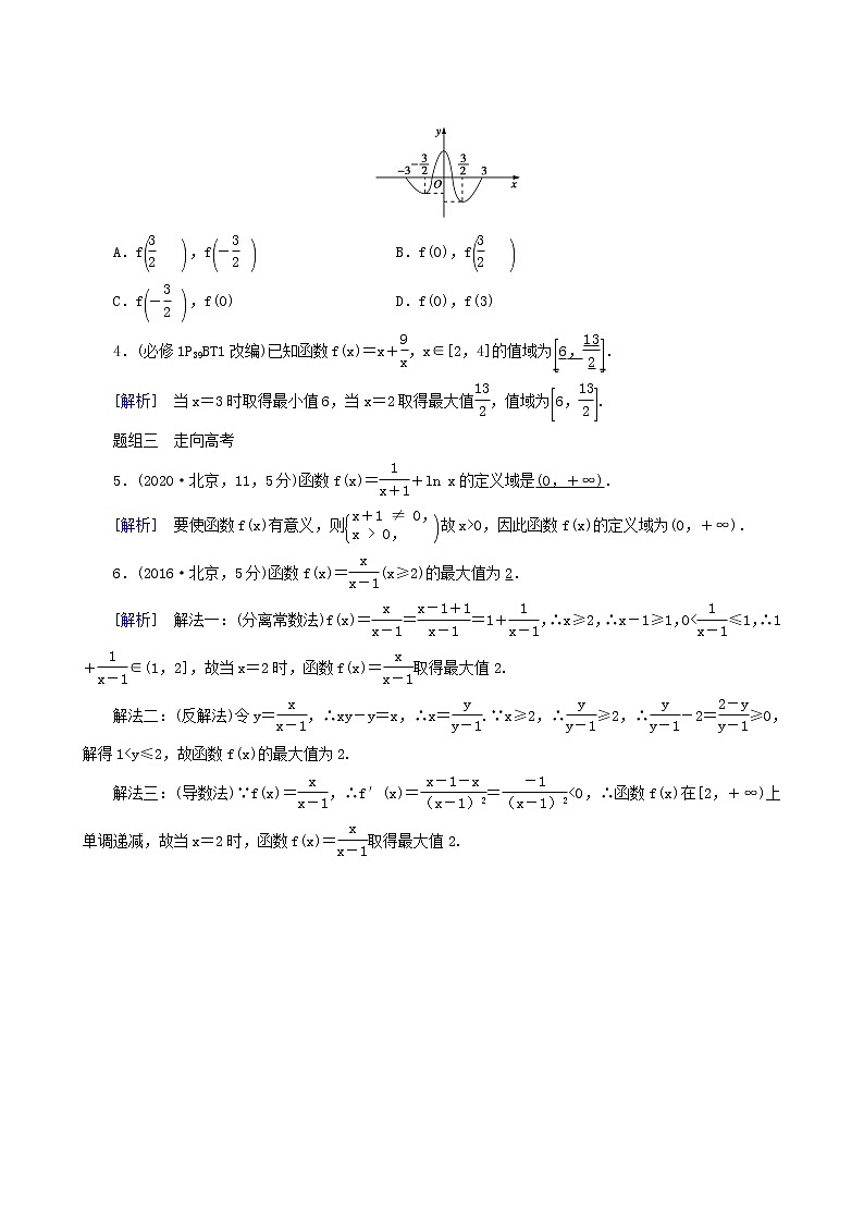
第二讲 函数的定义域、值域知识梳理·双基自测 ZHI SHI SHU LI SHUANG JI ZI CE知识梳理知识点一 函数的定义域函数y=f(x)的定义域 1.求定义域的步骤:(1)写出使函数式有意义的不等式(组);(2)解不等式(组);(3)写出函数定义域.(注意用区间或集合的形式写出)2.求函数定义域的主要依据(1)整式函数的定义域为R.(2)分式函数中分母不等于0.(3)偶次根式函数被开方式大于或等于0.(4)一次函数、二次函数的定义域均为R.(5)函数f(x)=x0的定义域为{x|x≠0}.(6)指数函数的定义域为R.(7)对数函数的定义域为(0,+∞).知识点二 函数的值域基本初等函数的值域:1.y=kx+b(k≠0)的值域是R.2.y=ax2+bx+c(a≠0)的值域是:当a>0时,值域为;当a<0时,值域为.3.y=(k≠0)的值域是{y|y≠0}.4.y=ax(a>0且a≠1)的值域是(0,+∞).5.y=logax(a>0且a≠1)的值域是R.重要结论1.定义域是一个集合,要用集合或区间表示,若用区间表示,不能用“或”连接,而应该用并集符号“∪”连接.2.分段函数的定义域等于各段函数的定义域的并集,其值域等于各段函数的值域的并集.3.函数f(x)与f(x+a)(a为常数a≠0)的值域相同.双基自测题组一 走出误区1.判断下列结论是否正确(请在括号中打“√”或“×”)(1)若两个函数的定义域与值域相同,则这两个函数相等.( × )(2)函数y=定义域为x>1.( × )(3)函数y=f(x)定义域为[-1,2],则y=f(x)+f(-x)定义域为[-1,1].( √ )(4)函数y=log2(x2+x+a)的值域为R,则a的取值范围为.( √ )(5)求函数y=的值域时有以下四种解法.判断哪种解法是正确的.[解法一](不等式法):y==+≥2,∴值域为[2,+∞).( × )[解法二](判别式法):设=t(t≥),则y=t+,即t2-ty+1=0,∵t∈R,∴Δ=y2-4≥0,∴y≥2或y≤-2(舍去).( × )[解法三](配方法):令=t(t≥),则y=t+=+2≥2.( × )[解法四](单调性法):易证y=t+在t≥时是增函数,所以t=时,ymin=,故y∈.( √ )[解析] (4)y=log2(x2+x+a)值域为R应满足Δ≥0,即1-4a≥0,∴a≤. 题组二 走进教材2.(必修1P17例1改编)函数f(x)=+的定义域为( C )A.[0,2) B.(2,+∞)C.[0,2)∪(2,+∞) D.(-∞,2)∪(2,+∞)[解析] 使函数有意义满足,解得x≥0且x≠2,故选C.3.(必修1P32T5改编)函数f(x)的图象如图,则其最大值、最小值分别为( B )A.f,f B.f(0),fC.f,f(0) D.f(0),f(3)4.(必修1P39BT1改编)已知函数f(x)=x+,x∈[2,4]的值域为.[解析] 当x=3时取得最小值6,当x=2取得最大值,值域为.题组三 走向高考5.(2020·北京,11,5分)函数f(x)=+ln x的定义域是(0,+∞).[解析] 要使函数f(x)有意义,则故x>0,因此函数f(x)的定义域为(0,+∞).6.(2016·北京,5分)函数f(x)=(x≥2)的最大值为2.[解析] 解法一:(分离常数法)f(x)===1+,∴x≥2,∴x-1≥1,0<≤1,∴1+∈(1,2],故当x=2时,函数f(x)=取得最大值2.解法二:(反解法)令y=,∴xy-y=x,∴x=.∵x≥2,∴≥2,∴-2=≥0,解得1<y≤2,故函数f(x)的最大值为2.解法三:(导数法)∵f(x)=,∴f′(x)==<0,∴函数f(x)在[2,+∞)上单调递减,故当x=2时,函数f(x)=取得最大值2.
考点突破·互动探究 KAO DIAN TU PO HU DONG TAN JIU 考点一 求函数的定义域——多维探究角度1 求具体函数的定义域例1 (1)(2021·长春质检)函数y=+的定义域是( D )A.[-1,0)∪(0,1) B.[-1,0)∪(0,1]C.(-1,0)∪(0,1] D.(-1,0)∪(0,1)(2)(2021·宣城八校联考期末)函数y=的定义域为( B )A.(-1,3] B.(-1,0)∪(0,3]C.[-1,3] D.[-1,0)∪(0,3][解析] (1)由题意得解得-1<x<0或0<x<1.所以原函数的定义域为(-1,0)∪(0,1).(2)要使函数有意义,x需满足解得-1<x<0或0<x≤3,所以函数的定义域为(-1,0)∪(0,3].角度2 求抽象函数的定义域例2 已知函数f(x)的定义域为(-1,0),则函数f(2x+1)的定义域为( B )A.(-1,1) B.C.(-1,0) D.[解析] 由函数f(x)的定义域为(-1,0),则使函数f(2x+1)有意义,需满足-1<2x+1<0,解得-1<x<-,即所求函数的定义域为.[引申1]若将本例中f(x)与f(2x+1)互换,结果如何?[解析] f(2x+1)的定义域为(-1,0),即-1<x<0,∴-1<2x+1<1,∴f(x)的定义域为(-1,1).[引申2]若将本例中f(x)改为f(2x-1)定义域改为[0,1],求y=f(2x+1)的定义域,又该怎么办?[解析] ∵y=f(2x-1)定义域为[0,1].∴-1≤2x-1≤1,要使y=f(2x+1)有意义应满足-1≤2x+1≤1,解得-1≤x≤0,因此y=f(2x+1)定义域为[-1,0].名师点拨 MING SHI DIAN BO函数定义域的求解策略(1)已知函数解析式:构造使解析式有意义的不等式(组)求解.(2)实际问题:由实际意义及使解析式有意义构成的不等式(组)求解.(3)抽象函数:①若已知函数f(x)的定义域为[a,b],其复合函数f[g(x)]的定义域由不等式a≤g(x)≤b求出;②若已知函数f[g(x)]的定义域为[a,b],则f(x)的定义域为g(x)在x∈[a,b]时的值域.〔变式训练1〕(1)(角度1)函数f(x)=+的定义域为( B )A.[-2,0)∪(0,2] B.(-1,0)∪(0,2]C.[-2,2] D.(-1,2](2)(角度1)(2021·安徽芜湖检测)如果函数f(x)=ln(-2x+a)的定义域为(-∞,1),那么实数a的值为( D )A.-2 B.-1 C.1 D.2(3)(角度2)已知函数y=f(x2-1)的定义域为[-,],则函数y=f(x)的定义域为[-1,2].[解析] (1)由得-1<x≤2,且x≠0.故选B.(2)因为-2x+a>0,所以x<,所以=1,得a=2.故选D.(3)因为y=f(x2-1)的定义域为[-,],所以x∈[-,],x2-1∈[-1,2],所以y=f(x)的定义域为[-1,2].考点二,求函数的值域——师生共研 例3 求下列函数的值域.(1)y=;(2)y=;(3)y=;(4)y=x-;(5)y=x+;(6)y=|x+1|+|x-2|.[解析] (1)解法一:分离常数法:y==-1+,∵|x|≥0,∴|x|+1≥1,∴0<≤2.∴-1<-1+≤1.即函数值域为(-1,1].解法二:反解法:由y=,得|x|=.∵|x|≥0,∴≥0,∴-1<y≤1,即函数值域(-1,1].(2)解法一:配方法:y=,∴0≤y≤,∴值域为.解法二:复合函数法:y=,t=-2x2+x+3,由t=-2x2+x+3,解得t≤,又∵y=有意义,∴0≤t≤,∴0≤y≤,∴值域为.(3)y==x++1解法一:基本不等式法由y=x++1(x≠0),得y-1=x+.∵=|x|+≥2=2,∴|y-1|≥2,即y≤-1或y≥3.即函数值域为(-∞,-1]∪[3,+∞)解法二:判别式法由y=,得x2+(1-y)x+1=0.∵方程有实根,∴Δ=(1-y)2-4≥0.即(y-1)2≥4,∴y-1≤-2或y-1≥2.得y≤-1或y≥3.即函数的值域为(-∞,-1]∪[3,+∞).解法三:导数法(单调性法)令y′=1-=<0,得-1<x<0或0<x<1.∴函数在(0,1)上递减,在(1,+∞)上递增,此时y≥3;函数在(-1,0)上递减,在(-∞,-1)上递增,此时y≤-1.∴y≤-1或y≥3.即函数值域为(-∞,-1]∪[3,+∞).(4)解法一:换元法设=t(t≥0),得x=,∴y=-t=-(t+1)2+1≤(t≥0),∴y∈.即函数的值域为.解法二:单调性法∵1-2x≥0,∴x≤,∴定义域为.又∵函数y=x,y=-在上均单调递增,∴y≤-=,∴y∈.(5)三角换元法:设x=sin θ,θ∈,y=sin θ+cos θ=sin,∵θ∈,∴θ+∈,∴sin∈,∴y∈[-1,].(6)解法一:绝对值不等式法:由于|x+1|+|x-2|≥|(x+1)-(x-2)|=3,所以函数值域为[3,+∞).解法二:数形结合法:y=画出此分段函数的图象如图,可知值域为[3,+∞).名师点拨 MING SHI DIAN BO求函数值域的一般方法(1)分离常数法:形如y=(a≠0)的函数;如例3(1).(2)反解法:形如y=(a≠0,f(x)值域易求)的函数;如例3(1).(3)配方法:形如y=af2(x)+bf(x)+c(a≠0)的函数;如例3(2).(4)不等式法;如例3(3).(5)单调性法:通过研究函数单调性,求出最值,进而确定值域.(6)换元法:形如y=ax+b±(c≠0)的函数;如例3(4);形如y=ax+b±(c≠0)的函数采用三角换元,如例3(5).(7)数形结合法:借助函数图象确定函数的值域,如例3(6).(8)导数法.〔变式训练2〕求下列函数的值域:(1)y=;(2)y=x+4;(3)y=.[解析] (1)解法一:y==-1+,因为x2≥0,所以x2+1≥1,所以0<≤2.所以-1<-1+≤1.即函数的值域为(-1,1].解法二:由y=,得x2=.因为x2≥0,所以≥0.所以-1<y≤1,即函数的值域为(-1,1].(2)设t=,t≥0,则x=1-t2,所以原函数可化为y=1-t2+4t=-(t-2)2+5(t≥0),所以y≤5,所以原函数的值域为(-∞,5].(3)y===x+=x-++,因为x>,所以x->0,所以x-+≥2=,当且仅当x-=,即x=时取等号.所以y≥+,即原函数的值域为.导数法:y′=,∴y在递减,在递增,∴y≥+. 名师讲坛·素养提升 MING SHI JIANG TAN SU YANG TI SHENG已知函数的定义域或值域求参数的取值范围例4 已知函数f(x)=lg [(a2-1)x2+(a+1)x+1].(1)若f(x)的定义域为R,求实数a的取值范围;(2)若f(x)的值域为R,求实数a的取值范围.[分析] (1)由f(x)的定义域为R知(a2-1)x2+(a+1)·x+1>0的解集为R,即(a2-1)x2+(a+1)x+1>0恒成立;(2)由f(x)的值域为R知(a2-1)x2+(a+1)x+1能取所有正数,即y=(a2-1)x2+(a+1)x+1图象的开口向上且与x轴必有交点.[解析] (1)依题意(a2-1)x2+(a+1)x+1>0,对一切x∈R恒成立,当a2-1≠0时,其充要条件是即∴a<-1或a>.又a=-1时,f(x)=1>0,满足题意.∴a≤-1或a>.(2)依题意,只要t=(a2-1)x2+(a+1)x+1能取到(0,+∞)上的任何值,则f(x)的值域为R,故有a2-1>0,Δ≥0,解得-1≤a≤,又当a2-1=0,即a=1时,t=2x+1符合题意;a=-1时不合题意,∴-1<a≤.名师点拨 MING SHI DIAN BO已知函数的定义域,等于是知道了x的范围,(1)当定义域不是R时,往往转化为解集问题,进而转化为与之对应的方程解的问题,此时常利用代入法或待定系数法求解;(2)当定义域为R时,往往转化为恒成立的问题,常常结合图形或利用最值求解.〔变式训练3〕 (1)已知函数y=的定义域为R,则实数m的取值范围为[0,1].(2)(2021·甘肃天水三中阶段测试)若函数y=x2-3x-4的定义域为[0,m],值域为,则实数m的取值范围是( C )A.(0,4] B.C. D.[解析] (1)①当m=0时,y=,其定义域为R.②当m≠0时,由定义域为R可知,mx2-6mx+m+8≥0对一切实数x均成立,于是有解得0<m≤1,∴m的取值范围是[0,1].(2)由x2-3x-4=-得x=;由x2-3x-4=-4,得x=0或x=3,又函数y=x2-3x-4的定义域为[0,m],值域为,∴≤m≤3.另:由y=x2-3x-4=-,∴≤m≤3.
相关学案
这是一份微专题 对数函数的定义域、值域 学案——2023届高考数学一轮《考点·题型·技巧》精讲与精练,共28页。学案主要包含了考点梳理,题型归纳,双基达标,高分突破等内容,欢迎下载使用。
这是一份高考数学一轮复习第2章函数导数及其应用第10讲函数模型及其应用学案,共9页。
这是一份高考数学一轮复习第2章函数导数及其应用第9讲函数与方程学案,共11页。

