还剩18页未读,
继续阅读
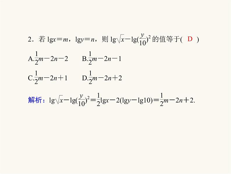
数学必修 第一册4.3 对数课前预习ppt课件
展开
这是一份数学必修 第一册4.3 对数课前预习ppt课件,共26页。
4.3 对数第35课时 对数的运算(2)
相关课件
高中数学人教A版 (2019)必修 第一册第四章 指数函数与对数函数4.3 对数示范课ppt课件:
这是一份高中数学人教A版 (2019)必修 第一册第四章 指数函数与对数函数4.3 对数示范课ppt课件,共17页。PPT课件主要包含了导入新课,精彩课堂,此式叫对数换底公式,例题剖析,课堂练习,课堂总结等内容,欢迎下载使用。
人教A版 (2019)必修 第一册4.3 对数作业ppt课件:
这是一份人教A版 (2019)必修 第一册4.3 对数作业ppt课件,共13页。PPT课件主要包含了BCD等内容,欢迎下载使用。
高中人教A版 (2019)4.3 对数课前预习课件ppt:
这是一份高中人教A版 (2019)4.3 对数课前预习课件ppt,共26页。PPT课件主要包含了目录索引等内容,欢迎下载使用。

