高考数学一轮复习第8章立体几何第6讲空间坐标系与空间向量课件
展开
这是一份高考数学一轮复习第8章立体几何第6讲空间坐标系与空间向量课件,共38页。PPT课件主要包含了空间向量的概念,空间向量的运算,空间向量的运算律,叫做点P的坐标,z2那么有,的值可以是,图D89,图D90,考点1,空间向量的线性运算等内容,欢迎下载使用。
课标要求1.通过具体情境,感受建立空间直角坐标系的必要性,了解空间直角坐标系,会用空间直角坐标系刻画点的位置.2.通过表示特殊长方体(所有棱分别与坐标轴平行)顶点的坐标,探索并得出空间两点间的距离公式.3.经历向量及其运算由平面向空间推广的过程.4.了解空间向量的概念,了解空间向量的基本定理及其意义,掌握空间向量的正交分解及其坐标表示.5.掌握空间向量的线性运算及其坐标表示.6.掌握空间向量的数量积及其坐标表示,能运用向量的数量积判断向量的共线与垂直.7.理解直线的方向向量与平面的法向量.8.能用向量语言表述线线、线面、面面的垂直、平行关系
考情风向标能较易建立空间直角坐标系的,尽量建立空间直角坐标系;要注意向量运算与基本性质相结合的论述,这是今后的方向,可以“形到形”,可以“数到形”,注意数形结合
在空间,既有大小又有方向的量,叫做空间向量,记作 a
(3)数乘向量:λa(λ∈R)仍是一个向量,且λa 与 a 共线,|λa|=|λ||a|.
(4)数量积:a·b=|a||b|cs〈a,b〉,a·b 是一个实数.
(1)交换律:a+b=b+a;a·b=b·a.
(2)结合律:(a+b)+c=a+(b+c);(λa)·b=λ(a·b)(λ∈R)[注
意:(a·b)c=a(b·c)一般不成立].
(3)分配律: λ(a+b)=λa+λb(λ∈R);a·(b+c)=a·b+a·c.4.空间向量的坐标运算
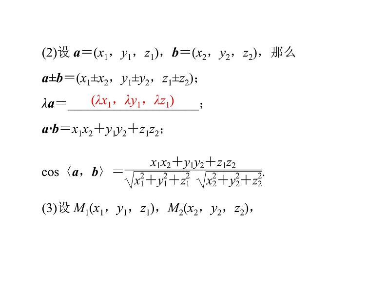
(2)设 a=(x1,y1,z1),b=(x2,y2,z2),那么
a±b=(x1±x2,y1±y2,z1±z2);λa=____________________;a·b=x1x2+y1y2+z1z2;
(3)设 M1(x1,y1,z1),M2(x2,y2,z2),
(λx1,λy1,λz1)
(4)对于非零向量 a 与 b,设 a=(x1,y1,z1),b=(x2,y2,
a∥b⇔a=λb⇔x1=λx2,y1=λy2,z1=λz2;a⊥b⇔a·b=0⇔x1x2+y1y2+z1z2=0.
1.已知 a=(λ+1,0,2),b=(6,2μ-1,2λ),若 a∥b,则λ与 μ
A.a+b-cC.a-b-c
B.c-a-bD.b-a+c
4.(2018 年江苏启东中学期中)已知向量 a=(2,-1,2),b=
(-1,3,-3),c=(13,6,λ),若向量 a,b,c 共面,则λ=____.
解析:∵a=(2,-1,2),b=(-1,3,-3),c=(13,6,λ),且 a,b,c 共面,∴存在实数 x,y 使得 c=xa+yb,∴(13,6,λ)=(2x-y,-x+3y,2x-3y),
例 1:(1)如图 8-6-1,在平行六面体 ABCD-A1B1C1D1 中,设中点,试用 a,b,c 表示以下各向量:图 8-6-1
【规律方法】(1)选定空间不共面的三个向量作基向量,这是用向量解决立体几何问题的基本要求.用已知基向量表示指定向量时,应结合已知向量和所求向量观察图形,将已知向量和未知向量转化至三角形或平行四边形中,然后利用三角形法则或平行四边形法则进行运算.
(2)首尾相接的若干向量之和,等于由起始向量的始点指向末尾向量的终点的向量,我们把这个法则称为向量加法的多边形法则.
(2)如图 8-6-4,直三棱柱 ABC-A1B1C1,底面△ABC 中,CA=CB=1,∠BCA=90°,棱 AA1=2,M,N 分别是 A1B1,A1A的中点.
③求证:A1B⊥C1M.
①解:如图 D91,建立空间直角坐标系.
【规律方法】利用数量积解决问题的两条途径:一是根据数量积的定义,利用模与夹角直接计算;二是利用坐标运算.可解决有关垂直、夹角、长度问题.
例 3:(2015 年新课标Ⅰ)如图 8-6-5,四边形 ABCD 为菱形,∠ABC=120°,E,F 是平面 ABCD 同一侧的两点,BE⊥平面ABCD,DF⊥平面 ABCD,BE=2DF,AE⊥EC.(1)证明:平面 AEC⊥平面 AFC;(2)求直线 AE 与直线 CF 所成角的余弦值.图 8-6-5
(1)证明:如图 8-6-6,连接 BD,设 BD∩AC=G,连接 EG,FG,EF,在菱形 ABCD 中,不妨设 GB=1,由∠ABC=120°,
由 BE⊥平面 ABCD,AB=BC 可知,AE=EC.
∴EG2+FG2=EF2.∴EG⊥FG.∵AC∩FG=G,AC,FG⊂平面 AFC,∴EG⊥平面 AFC.∵EG⊂平面 AEC,∴平面 AEC⊥平面 AFC.
【规律方法】(1)求几何体中两个向量的夹角可以把其中一个向量平移到与另一个向量的起点重合,从而转化为求平面中的角的大小.
b〉的大小,转化为求两个向量的数量积及两个向量的模,求出〈a,b〉的余弦值,进而求〈a,b〉的大小.在求 a·b 时注意结合空间图形,把 a,b 用基向量表示出来,进而化简得出 a·b 的值.
解析:以 C 为原点,CB 为 x 轴,CA 为 y 轴,CC1 为 z 轴,建立如图 D92 所示的空间直角坐标系,图 D92
例题:如图 8-6-8,在 120°的二面角α-l-β中,A∈l,B∈l,AC⊂α,BD⊂β,且 AC⊥AB,BD⊥AB,垂足分别为 A,B.已知AC=AB=BD=6,试求线段 CD 的长.
【失误与防范】(1)求解时,易混淆二面角的平面角与向量
此处应结合图形,根据向量的方向与二面角的棱的方向关系正确地转化为向量夹角.
(2)对所用的公式要熟练,变形时运用公式要正确并注意符
相关课件
这是一份高考数学一轮总复习课件第6章立体几何第6讲空间坐标系与空间向量(含解析),共60页。PPT课件主要包含了空间向量的概念,空间向量的运算,空间向量的运算律,a·c,名师点睛,a∥α,有一个零向量,答案D,A1个,B2个等内容,欢迎下载使用。
这是一份2024年新高考数学第一轮复习课件:第36讲 空间直角坐标系与空间向量,共22页。PPT课件主要包含了答案A,答案ACD等内容,欢迎下载使用。
这是一份2024届高考数学一轮总复习第六章立体几何第六讲空间坐标系与空间向量课件,共56页。PPT课件主要包含了答案D,图D39,答案ABC,量表示出来,图6-6-3,题后反思,问题求解,图6-6-8,图D40,图6-6-11等内容,欢迎下载使用。

