




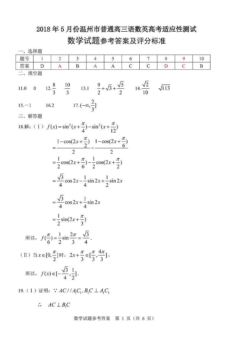
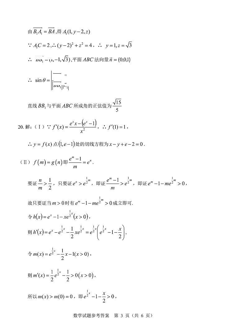
2018届浙江省温州市高三5月高考适应性测试数学试题(PDF版)
展开2020届浙江省温州市高三11月普通高中高考适应性测试一模数学试题 PDF版: 这是一份2020届浙江省温州市高三11月普通高中高考适应性测试一模数学试题 PDF版,文件包含201911温州市一模数学参考答案docx、sxpdf等2份试卷配套教学资源,其中试卷共10页, 欢迎下载使用。
2022届浙江省温州市高三下学期3月高考适应性测试(二模)数学试题(PDF版): 这是一份2022届浙江省温州市高三下学期3月高考适应性测试(二模)数学试题(PDF版),共18页。
2020届浙江省温州市高三11月普通高中高考适应性测试一模数学试题 PDF版: 这是一份2020届浙江省温州市高三11月普通高中高考适应性测试一模数学试题 PDF版,文件包含201911温州市一模数学参考答案docx、sxpdf等2份试卷配套教学资源,其中试卷共10页, 欢迎下载使用。