2022届黑龙江省哈尔滨市第三中学校高三第五次高考模拟考试 理科数学 PDF版
展开2022届黑龙江省哈尔滨市第三中学校高三第五次高考模拟考试 文科数学 PDF版: 这是一份2022届黑龙江省哈尔滨市第三中学校高三第五次高考模拟考试 文科数学 PDF版,文件包含黑龙江省哈尔滨市第三中学校2022届高三第五次高考模拟考试文科数学PDF版试卷pdf、黑龙江省哈尔滨市第三中学校2022届高三第五次高考模拟考试文科数学PDF版答案解析pdf等2份试卷配套教学资源,其中试卷共10页, 欢迎下载使用。
黑龙江省哈尔滨市第三中学校2022届高三第五次高考模拟考试文科数学试卷: 这是一份黑龙江省哈尔滨市第三中学校2022届高三第五次高考模拟考试文科数学试卷,共7页。
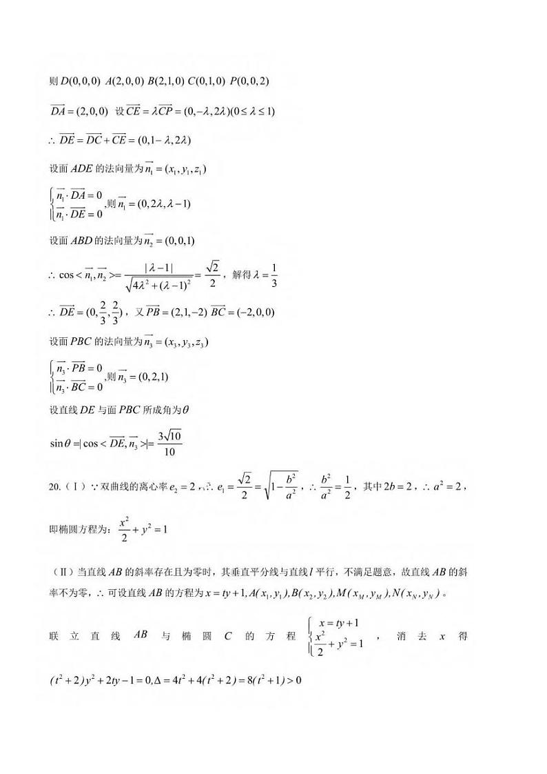
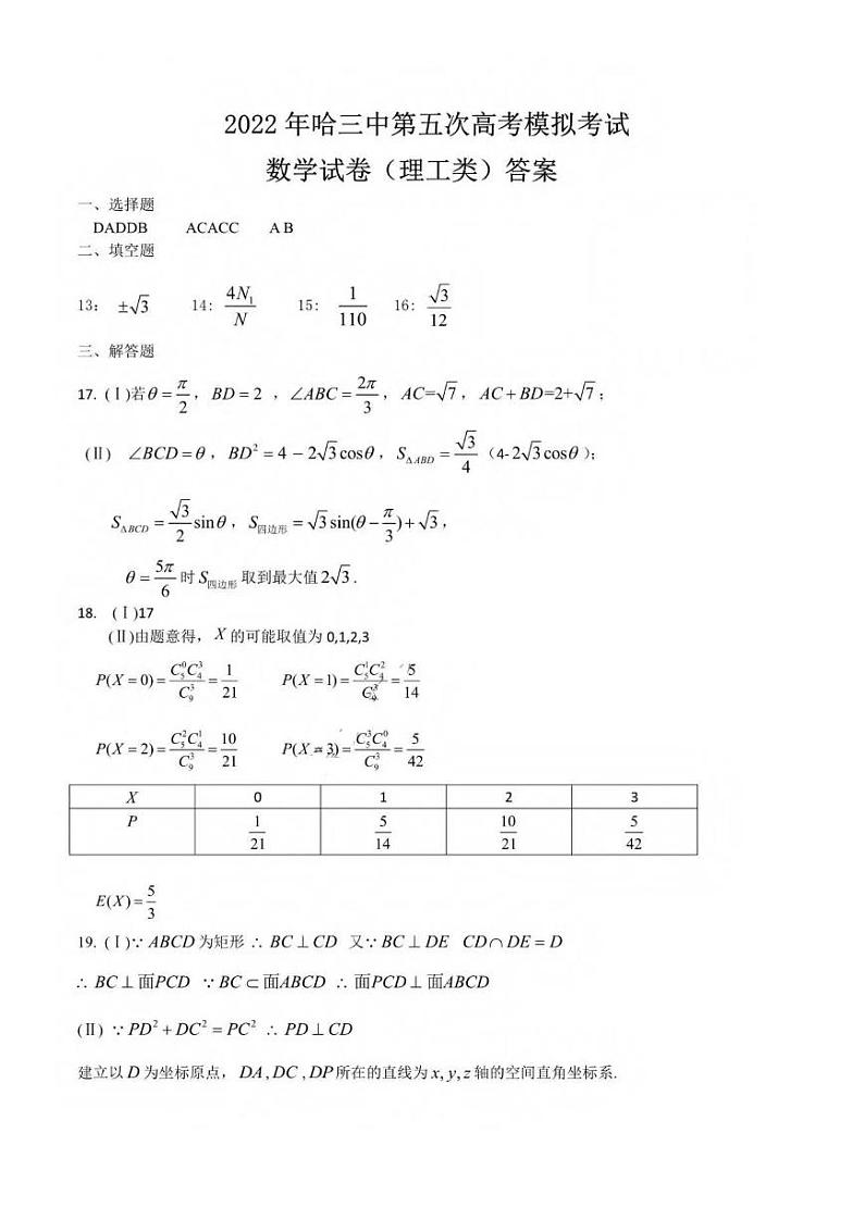
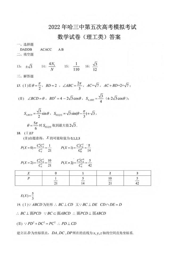
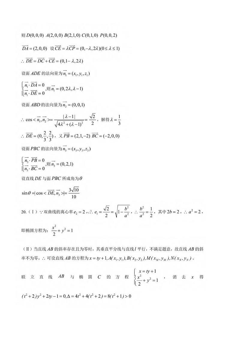
2022届黑龙江省哈尔滨市第三中学校高三第五次高考模拟考试理科数学试卷及参考答案: 这是一份2022届黑龙江省哈尔滨市第三中学校高三第五次高考模拟考试理科数学试卷及参考答案,文件包含黑龙江省哈尔滨市第三中学校2022届高三第五次高考模拟考试理科数学试卷pdf、哈三中五模理科数学答案pdf等2份试卷配套教学资源,其中试卷共11页, 欢迎下载使用。

