



所属成套资源:2023年高考数学(文数)一轮复习课时达标练习(答案版+教师版)
- 2023年高考数学(文数)一轮复习课时19《三角函数的图像与性质》达标练习(2份,答案版+教师版) 试卷 0 次下载
- 2023年高考数学(文数)一轮复习课时20《函数y=Asin(ωx+φ)的图像性质》达标练习(2份,答案版+教师版) 试卷 0 次下载
- 2023年高考数学(文数)一轮复习课时23《解三角形的实际应用举例》达标练习(2份,答案版+教师版) 试卷 0 次下载
- 2023年高考数学(文数)一轮复习课时22《正弦定理与余弦定理》达标练习(2份,答案版+教师版) 试卷 0 次下载
- 2023年高考数学(文数)一轮复习课时24《平面向量的概念及线性运算》达标练习(2份,答案版+教师版) 试卷 0 次下载
2023年高考数学(文数)一轮复习课时21《三角恒等变换》达标练习(2份,答案版+教师版)
展开
这是一份2023年高考数学(文数)一轮复习课时21《三角恒等变换》达标练习(2份,答案版+教师版),文件包含2023年高考数学文数一轮复习课时21《三角恒等变换》达标练习含详解doc、2023年高考数学文数一轮复习课时21《三角恒等变换》达标练习教师版doc等2份试卷配套教学资源,其中试卷共9页, 欢迎下载使用。
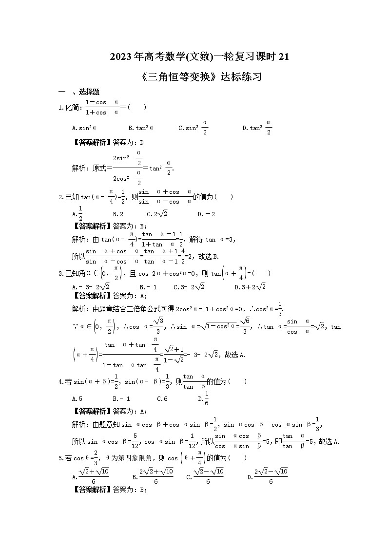
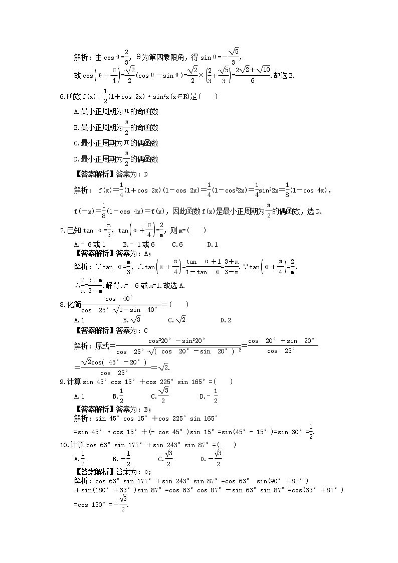
2023年高考数学(文数)一轮复习课时21《三角恒等变换》达标练习一 、选择题1.化简:=( )A.sin2α B.tan2α C.sin2 D.tan2 【答案解析】答案为:D解析:原式==tan2 .2.已知tan(α- )=,则的值为( )A. B.2 C.2 D.-2【答案解析】答案为:B;解析:由tan(α- )==,解得tan α=3,所以===2,故选B.3.已知角α∈,且cos 2α+cos2α=0,则tan=( )A.- 3- 2 B.- 1 C.3- 2 D.3+2【答案解析】答案为:A;解析:由题意结合二倍角公式可得2cos2α- 1+cos2α=0,∴cos2α=.∵α∈,∴cos α=,∴sin α==,∴tan α==,tan===- 3- 2,故选A.4.若sin(α+β)=,sin(α- β)=,则的值为( )A.5 B.- 1 C.6 D.【答案解析】答案为:A;解析:由题意知sin αcos β+cos αsin β=,sin αcos β- cos αsin β=,所以sin αcos β=,cos αsin β=,所以=5,即=5,故选A.5.若cosθ=,θ为第四象限角,则cos的值为( )A. B. C. D.【答案解析】答案为:B;解析:由cosθ=,θ为第四象限角,得sinθ=-,故cos=(cosθ-sinθ)=×=.故选B.6.函数f(x)=(1+cos 2x)·sin2x(x∈R)是( )A.最小正周期为π的奇函数B.最小正周期为的奇函数C.最小正周期为π的偶函数D.最小正周期为的偶函数【答案解析】答案为:D解析: f(x)=(1+cos 2x)(1-cos 2x)=(1-cos22x)=sin22x=(1-cos 4x),f(-x)=(1-cos 4x)=f(x),因此函数f(x)是最小正周期为的偶函数,选D.7.已知tan α=,tan=,则m=( )A.- 6或1 B.- 1或6 C.6 D.1【答案解析】答案为:A;解析:∵tan α=,∴tan==.∵tan=,∴=.解得m=- 6或m=1.故选A.8.化简=( )A.1 B. C. D.2【答案解析】答案为:C解析:原式====.9.计算sin 45°cos 15°+cos 225°sin 165°=( )A.1 B. C. D.- 【答案解析】答案为:B;解析:sin 45°cos 15°+cos 225°sin 165°=sin 45°·cos 15°+(- cos 45°)sin 15°=sin(45°- 15°)=sin 30°=.10.计算cos 63°sin 177°+sin 243°sin 87°=( )A. B.- C. D.-【答案解析】答案为:D;解析:cos 63°sin 177°+sin 243°sin 87°=cos 63° sin(90°+87°)+sin(180°+63°)sin 87°=cos 63°cos 87°-sin 63°sin 87°=cos(63°+87°)=cos 150°=-.11.已知α∈R,sinα+2cosα=,则tan2α=( )A. B. C.- D.-【答案解析】答案为:C;解析:因为sinα+2cosα=,所以sin2α+4cos2α+4sinαcosα=(sin2α+cos2α),整理得3sin2α-3cos2α-8sinαcosα=0,则-3cos2α=4sin2α,所以tan2α=-.12.已知atanα+b=(a-btanα)tanβ,且α+与β的终边相同,则的值为( )A. B. C. D.【答案解析】答案为:B.解析:已知等式可化为atanα+b=atanβ-btanα·tanβ,即b(1+tanα·tanβ)=a·(tanβ-tanα),∴==tan(β-α),又∵α+与β的终边相同,即β=2kπ+α+(k∈Z),∴tan(β-α)=tan=tan=,即=,故选B.二 、填空题13.已知α为锐角,若sin=,则cos= .【答案解析】答案为:.解析:∵α为锐角,sin=,∴0<α-<,∴cos= =,则cos=cos=coscos+sinsin=×+×=.14.函数f(x)=sin(2x- )-2sin2x的最小正周期是__________.【答案解析】答案为:π解析:∵f(x)=sin (2x- )2x-cos 2x-(1-cos 2x)=sin 2x+cos 2x-=sin(2x+ )-,∴f(x)的最小正周期T==π.15.在△ABC中,若tanAtanB=tanA+tanB+1,则cosC= .【答案解析】答案为:;解析:由tanAtanB=tanA+tanB+1,可得=-1,即tan(A+B)=-1,又A+B∈(0,π)所以A+B=,则C=,cosC=.16.已知方程x2+3ax+3a+1=0(a>1)的两根分别为tan α,tan β,且α,β∈(- ,),则α+β=________.【答案解析】答案为:-.解析:[由题意知tan α+tan β=-3a,tan αtan β=3a+1,∴tan(α+β)===1,又α,β∈(- ,),tan α+tan β=-3a<0,tan αtan β=3a+1>0.所以tan α<0,tan β<0,所以α,β∈(- ,0),所以α+β∈(-π,0),所以α+β=-π.]
相关试卷
这是一份2023年高考数学(理数)一轮复习课时21《三角恒等变换》达标练习(含详解),文件包含2023年高考数学理数一轮复习课时21《三角恒等变换》达标练习含详解doc、2023年高考数学理数一轮复习课时21《三角恒等变换》达标练习教师版doc等2份试卷配套教学资源,其中试卷共9页, 欢迎下载使用。
这是一份2023年高考数学(文数)一轮复习课时01《集合》达标练习(2份,答案版+教师版),文件包含2023年高考数学文数一轮复习课时01《集合》达标练习含详解doc、2023年高考数学文数一轮复习课时01《集合》达标练习教师版doc等2份试卷配套教学资源,其中试卷共4页, 欢迎下载使用。
这是一份2023年高考数学(文数)一轮复习课时46《双曲线》达标练习(2份,答案版+教师版),文件包含2023年高考数学文数一轮复习课时46《双曲线》达标练习含详解doc、2023年高考数学文数一轮复习课时46《双曲线》达标练习教师版doc等2份试卷配套教学资源,其中试卷共10页, 欢迎下载使用。