所属成套资源:全套新人教A版高中数学必修第一册高效作业含解析
高中数学人教A版 (2019)必修 第一册5.5 三角恒等变换练习题
展开这是一份高中数学人教A版 (2019)必修 第一册5.5 三角恒等变换练习题,共8页。
1.简谐运动f(x)=2sin eq \b\lc\(\rc\)(\a\vs4\al\c1(\f(π,3)x+φ)) eq \b\lc\(\rc\)(\a\vs4\al\c1(|φ|<\f(π,2))) 的图象经过点P(0,1),则该简谐运动的最小正周期T和它的最大值分别为( A )
A.T=6,f(x)max=2
B.T=6,f(x)max=1
C.T=6π,f(x)max=2
D.T=6π,f(x)max=1
2. eq \a\vs4\al(【多选题】) 将函数y=sin (2x+φ)的图象沿x轴向左平移 eq \f(π,8) 个单位长度后,得到一个偶函数的图象,则φ不可能为( AC )
A. eq \f(3π,4) B. eq \f(π,4)
C.0 D. eq \f(5π,4)
【解析】 将函数y=sin (2x+φ)的图象向左平移 eq \f(π,8) 个单位长度后,得到y=sin eq \b\lc\(\rc\)(\a\vs4\al\c1(2x+φ+\f(π,4))) 的图象,因为它是偶函数,所以φ+ eq \f(π,4) = eq \f(π,2) +kπ,k∈Z,即φ= eq \f(π,4) +kπ,k∈Z,当k=0时,φ= eq \f(π,4) ,k=1时,φ= eq \f(5,4) π,无论k取任何整数,φ都不能取到 eq \f(3,4) π,0.故选AC.
3.已知函数f(x)=sin eq \b\lc\(\rc\)(\a\vs4\al\c1(ωx+\f(π,3))) (ω>0)的最小正周期为π,则该函数的图象( A )
A.关于点 eq \b\lc\(\rc\)(\a\vs4\al\c1(\f(π,3),0)) 对称
B.关于直线x= eq \f(π,3) 对称
C.关于点 eq \b\lc\(\rc\)(\a\vs4\al\c1(\f(π,4),0)) 对称
D.关于直线x= eq \f(π,4) 对称
【解析】 由 eq \f(2π,ω) =π,得ω=2,此时f(x)=sin eq \b\lc\(\rc\)(\a\vs4\al\c1(2x+\f(π,3))) .因为f eq \b\lc\(\rc\)(\a\vs4\al\c1(\f(π,3))) =0,所以该函数的图象关于点 eq \b\lc\(\rc\)(\a\vs4\al\c1(\f(π,3),0)) 对称.
4.同时具有性质“①周期是π;②图象关于直线x= eq \f(π,3) 对称;③在 eq \b\lc\[\rc\](\a\vs4\al\c1(-\f(π,6),\f(π,3))) 上单调递增”的一个函数是( C )
A.y=sin eq \b\lc\(\rc\)(\a\vs4\al\c1(\f(x,2)+\f(π,6)))
B.y=cs eq \b\lc\(\rc\)(\a\vs4\al\c1(2x+\f(π,3)))
C.y=sin eq \b\lc\(\rc\)(\a\vs4\al\c1(2x-\f(π,6)))
D.y=cs eq \b\lc\(\rc\)(\a\vs4\al\c1(2x-\f(π,6)))
【解析】 由①知T=π= eq \f(2π,ω) ,ω=2,排除选项A;由①②③知当x= eq \f(π,3) 时,f(x)取最大值,所以只有选项C符合要求.
5.设函数f(x)=A sin eq \b\lc\(\rc\)(\a\vs4\al\c1(ωx+\f(π,6))) +B(A>0,ω>0)的定义域为R,周期为 eq \f(2π,3) ,值域为[-1,3],则函数f(x)的解析式为( A )
A.f(x)=2sin eq \b\lc\(\rc\)(\a\vs4\al\c1(3x+\f(π,6))) +1
B.f(x)=2sin eq \b\lc\(\rc\)(\a\vs4\al\c1(3x+\f(π,6))) -1
C.f(x)=-2sin eq \b\lc\(\rc\)(\a\vs4\al\c1(3x+\f(π,6))) -1
D.f(x)=-2sin eq \b\lc\(\rc\)(\a\vs4\al\c1(3x+\f(π,6))) +1
【解析】 由题知,A= eq \f(3-(-1),2) =2,B= eq \f(3-1,2) =1.因为T= eq \f(2π,ω) = eq \f(2π,3) ,所以ω=3,故f(x)=2sin eq \b\lc\(\rc\)(\a\vs4\al\c1(3x+\f(π,6))) +1.
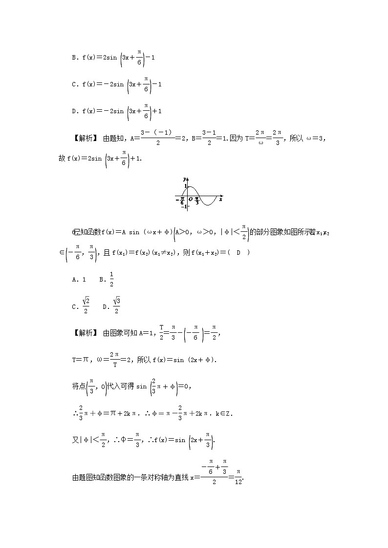
6.已知函数f(x)=A sin (ωx+φ) eq \b\lc\(\rc\)(\a\vs4\al\c1(A>0,ω>0,|φ|<\f(π,2))) 的部分图象如图所示.若x1,x2∈ eq \b\lc\(\rc\)(\a\vs4\al\c1(-\f(π,6),\f(π,3))) ,且f(x1)=f(x2)(x1≠x2),则f(x1+x2)=( D )
A.1 B. eq \f(1,2)
C. eq \f(\r(2),2) D. eq \f(\r(3),2)
【解析】 由图象可知A=1, eq \f(T,2) = eq \f(π,3) - eq \b\lc\(\rc\)(\a\vs4\al\c1(-\f(π,6))) = eq \f(π,2) ,
T=π,ω= eq \f(2π,T) =2,所以f(x)=sin (2x+φ).
将点 eq \b\lc\(\rc\)(\a\vs4\al\c1(\f(π,3),0)) 代入可得sin eq \b\lc\(\rc\)(\a\vs4\al\c1(\f(2,3)π+φ)) =0,
∴ eq \f(2,3) π+φ=π+2kπ,∴φ=π- eq \f(2,3) π+2kπ,k∈Z.
又|φ|< eq \f(π,2) ,∴φ= eq \f(π,3) ,∴f(x)=sin eq \b\lc\(\rc\)(\a\vs4\al\c1(2x+\f(π,3))) .
由题图知函数图象的一条对称轴为直线x= eq \f(-\f(π,6)+\f(π,3),2) = eq \f(π,12) .
又x1,x2∈ eq \b\lc\(\rc\)(\a\vs4\al\c1(-\f(π,6),\f(π,3))) ,且f(x1)=f(x2)(x1≠x2),
∴x1+x2= eq \f(π,12) ×2= eq \f(π,6) ,
∴f(x1+x2)=sin eq \b\lc\(\rc\)(\a\vs4\al\c1(2×\f(π,6)+\f(π,3))) = eq \f(\r(3),2) .故选D.
二、填空题
7.若函数f(x)=sin 2x+a cs 2x的图象关于直线x=- eq \f(π,8) 对称,则a=__-1__.
【解析】 因为x1=0,x2=- eq \f(π,4) 是定义域中关于直线x=- eq \f(π,8) 对称的两点,所以f(0)=f eq \b\lc\(\rc\)(\a\vs4\al\c1(-\f(π,4))) ,即0+a=sin eq \b\lc\(\rc\)(\a\vs4\al\c1(-\f(π,2))) +a cs eq \b\lc\(\rc\)(\a\vs4\al\c1(-\f(π,2))) ,得a=-1.
8.已知函数f(x)=sin (ωx+φ) eq \b\lc\(\rc\)(\a\vs4\al\c1(ω>0,φ∈\b\lc\[\rc\](\a\vs4\al\c1(-\f(π,2),\f(π,2))))) 的部分图象如图所示,则ω=__ eq \f(3,2) __,φ=__- eq \f(π,2) __.
【解析】 由题意,设此函数周期为T,则 eq \f(T,4) = eq \f(2π,3) - eq \f(π,3) = eq \f(π,3) ,所以T= eq \f(4π,3) = eq \f(2π,ω) ,得ω= eq \f(3,2) .由图象可知,函数图象过点(0,-1),所以sin eq \b\lc\(\rc\)(\a\vs4\al\c1(\f(3,2)×0+φ)) =-1.又φ∈ eq \b\lc\[\rc\](\a\vs4\al\c1(-\f(π,2),\f(π,2))) ,得φ=- eq \f(π,2) .
9.已知函数f(x)=A sin eq \b\lc\(\rc\)(\a\vs4\al\c1(ωx+\f(π,3))) (A>0,ω>0)在一个周期内,当x= eq \f(π,12) 时,函数f(x)取得最大值2,当x= eq \f(7π,12) 时,函数f(x)取得最小值-2,则此函数的解析式为__f(x)=2sin__ eq \b\lc\(\rc\)(\a\vs4\al\c1(2x+\f(π,3))) __.
【解析】 由题意可知A=2, eq \f(T,2) = eq \f(7π,12) - eq \f(π,12) = eq \f(π,2) ,所以T=π,所以 eq \f(2π,ω) =π,ω=2,所以f(x)=2sin eq \b\lc\(\rc\)(\a\vs4\al\c1(2x+\f(π,3))) .
10.若函数f(x)=sin eq \b\lc\(\rc\)(\a\vs4\al\c1(ωx+\f(π,6))) (ω>0)图象的两条相邻的对称轴之间的距离为 eq \f(π,2) ,且该函数的图象关于点(x0,0)成中心对称,x0∈ eq \b\lc\[\rc\](\a\vs4\al\c1(0,\f(π,2))) ,则x0=__ eq \f(5π,12) __.
【解析】 由题意知T= eq \f(2π,ω) =π,得ω=2.又图象关于点(x0,0)成中心对称,得sin eq \b\lc\(\rc\)(\a\vs4\al\c1(2x0+\f(π,6))) =0,所以2x0+ eq \f(π,6) =kπ(k∈Z),而x0∈ eq \b\lc\[\rc\](\a\vs4\al\c1(0,\f(π,2))) ,所以x0= eq \f(5π,12) .
11.设函数f(x)=A sin (ωx+φ)(A,ω,φ是常数,A>0,ω>0).若f(x)在区间 eq \b\lc\[\rc\](\a\vs4\al\c1(\f(π,6),\f(π,2))) 上具有单调性,且f eq \b\lc\(\rc\)(\a\vs4\al\c1(\f(π,2))) =f eq \b\lc\(\rc\)(\a\vs4\al\c1(\f(2π,3))) =-f eq \b\lc\(\rc\)(\a\vs4\al\c1(\f(π,6))) ,则f(x)的周期为__π__.
【解析】 由f(x)在区间 eq \b\lc\[\rc\](\a\vs4\al\c1(\f(π,6),\f(π,2))) 上具有单调性,且f eq \b\lc\(\rc\)(\a\vs4\al\c1(\f(π,2))) =-f eq \b\lc\(\rc\)(\a\vs4\al\c1(\f(π,6))) 知,函数f(x)的对称中心为 eq \b\lc\(\rc\)(\a\vs4\al\c1(\f(π,3),0)) .由f eq \b\lc\(\rc\)(\a\vs4\al\c1(\f(π,2))) =f eq \b\lc\(\rc\)(\a\vs4\al\c1(\f(2π,3))) 知,函数f(x)图象的一条对称轴为直线x= eq \f(1,2) eq \b\lc\(\rc\)(\a\vs4\al\c1(\f(π,2)+\f(2π,3))) = eq \f(7π,12) .由于f(x)在区间 eq \b\lc\[\rc\](\a\vs4\al\c1(\f(π,6),\f(π,2))) 上具有单调性,则 eq \f(π,2) - eq \f(π,6) ≤ eq \f(1,2) T⇒T≥ eq \f(2,3) π,从而 eq \f(7,12) π- eq \f(π,3) = eq \f(T,4) ,则T=π.
三、解答题
12.已知函数f(x)=A sin (ωx+φ) eq \b\lc\(\rc\)(\a\vs4\al\c1(A>0,ω>0,|φ|<\f(π,2))) 的一个周期的图象如图所示.
(1)求函数f(x)的解析式;
(2)求函数f(x)在x∈[-1,2]的值域.
解:(1)由图象知A=2,T=7-(-1)=8,
所以ω= eq \f(2π,T) = eq \f(2π,8) = eq \f(π,4) ,所以f(x)=2sin eq \b\lc\(\rc\)(\a\vs4\al\c1(\f(π,4)x+φ)) .
将点(-1,0)代入,得0=2sin eq \b\lc\(\rc\)(\a\vs4\al\c1(-\f(π,4)+φ)) ,
即- eq \f(π,4) +φ=2kπ(k∈Z),所以φ=2kπ+ eq \f(π,4) ,k∈Z.
因为|φ|< eq \f(π,2) ,所以φ= eq \f(π,4) ,所以f(x)=2sin eq \b\lc\(\rc\)(\a\vs4\al\c1(\f(π,4)x+\f(π,4))) .
(2)因为-1≤x≤2,则0≤ eq \f(π,4) x+ eq \f(π,4) ≤ eq \f(3π,4) ,
所以0≤sin eq \b\lc\(\rc\)(\a\vs4\al\c1(\f(π,4)x+\f(π,4))) ≤1,所以0≤2sin eq \b\lc\(\rc\)(\a\vs4\al\c1(\f(π,4)x+\f(π,4))) ≤2,
所以函数f(x)的值域为[0,2].
[B级 素养养成与评价]
13. eq \a\vs4\al(【多选题】) 将函数f(x)=sin 2x的图象向右平移 eq \f(π,4) 个单位长度后得到函数g(x)的图象,则函数g(x)具有的性质为( ABD )
A.在 eq \b\lc\(\rc\)(\a\vs4\al\c1(0,\f(π,4))) 上单调递增,为偶函数
B.最大值为1,图象关于直线x=- eq \f(3π,2) 对称
C.在 eq \b\lc\(\rc\)(\a\vs4\al\c1(-\f(3π,8),\f(π,8))) 上单调递增,为奇函数
D.最小正周期为π,图象关于点 eq \b\lc\(\rc\)(\a\vs4\al\c1(\f(3π,4),0)) 对称
【解析】 g(x)=sin eq \b\lc\[\rc\](\a\vs4\al\c1(2\b\lc\(\rc\)(\a\vs4\al\c1(x-\f(π,4))))) =sin eq \b\lc\(\rc\)(\a\vs4\al\c1(2x-\f(π,2))) =-cs 2x.
当x∈ eq \b\lc\(\rc\)(\a\vs4\al\c1(0,\f(π,4))) 时,2x∈ eq \b\lc\(\rc\)(\a\vs4\al\c1(0,\f(π,2))) ,g(x)=-cs 2x单调递增,为偶函数,A项正确,C项错误;最大值为1,当x=- eq \f(3π,2) 时,2x=-3π,为对称轴,B项正确;T= eq \f(2π,2) =π,令2x= eq \f(π,2) +kπ,k∈Z,
∴x= eq \f(π,4) + eq \f(kπ,2) ,k∈Z,当k=1时满足图象关于点 eq \b\lc\(\rc\)(\a\vs4\al\c1(\f(3π,4),0)) 对称,D项正确,故选ABD.
14.若函数y=A sin (ωx+φ)(A>0,ω>0)的部分图象如图所示,则f(1)+f(2)+f(3)+…+f(2 021)=__2+ eq \r(2) __.
【解析】 由图象可知A=2,φ=2kπ(k∈Z),T=8,所以 eq \f(2π,ω) =8,ω= eq \f(π,4) ,所以y=2sin eq \f(π,4) x.因为周期T=8,且f(1)+f(2)+f(3)+…+f(8)=0,所以f(1)+f(2)+f(3)+…+f(2 021)=f(1)+f(2)+f(3)+f(4)+f(5)=2sin eq \f(π,4) +2sin eq \f(π,2) +2sin eq \f(3,4) π+2sin π+2sin eq \f(5,4) π=2+ eq \r(2) .
15.设P为函数f(x)=sin eq \f(π,2) x的图象上的一个最高点,Q为函数g(x)=cs eq \f(π,2) x的图象上的一个最低点,则|PQ|的最小值是__ eq \r(5) __.
【解析】 由题意知两个函数的周期都为4,由正、余弦函数的图象知,f(x)与g(x)的图象相差 eq \f(1,4) 个周期,设P,Q分别为函数f(x),g(x)图象上的相邻的最高点和最低点,设P(x0,1),则Q(x0+1,-1),则|PQ|min= eq \r((x0+1-x0)2+(-1-1)2) = eq \r(5) .
16.已知函数f(x)=2sin x cs x- eq \r(3) cs 2x(x∈R).
(1)若f(α)= eq \f(1,2) 且α∈ eq \b\lc\(\rc\)(\a\vs4\al\c1(\f(5π,12),\f(2π,3))) ,求cs 2α的值;
(2)记函数f(x)在 eq \b\lc\[\rc\](\a\vs4\al\c1(\f(π,4),\f(π,2))) 上的最大值为b,且函数f(x)在[aπ,bπ](a<b)上单调递增,求实数a的最小值.
解:(1)f(x)=sin 2x- eq \r(3) cs 2x=2sin eq \b\lc\(\rc\)(\a\vs4\al\c1(2x-\f(π,3))) .
因为f(α)= eq \f(1,2) ,所以sin eq \b\lc\(\rc\)(\a\vs4\al\c1(2α-\f(π,3))) = eq \f(1,4) .
因为α∈ eq \b\lc\(\rc\)(\a\vs4\al\c1(\f(5π,12),\f(2π,3))) ,所以2α- eq \f(π,3) ∈ eq \b\lc\(\rc\)(\a\vs4\al\c1(\f(π,2),π)) ,
所以cs eq \b\lc\(\rc\)(\a\vs4\al\c1(2α-\f(π,3))) =- eq \f(\r(15),4) .
所以cs 2α=cs eq \b\lc\[\rc\](\a\vs4\al\c1(\b\lc\(\rc\)(\a\vs4\al\c1(2α-\f(π,3)))+\f(π,3)))
=cs eq \b\lc\(\rc\)(\a\vs4\al\c1(2α-\f(π,3))) cs eq \f(π,3) -sin eq \b\lc\(\rc\)(\a\vs4\al\c1(2α-\f(π,3))) sin eq \f(π,3)
=- eq \f(\r(15),4) × eq \f(1,2) - eq \f(1,4) × eq \f(\r(3),2) =- eq \f(\r(3)+\r(15),8) .
(2)当x∈ eq \b\lc\[\rc\](\a\vs4\al\c1(\f(π,4),\f(π,2))) 时,2x- eq \f(π,3) ∈ eq \b\lc\[\rc\](\a\vs4\al\c1(\f(π,6),\f(2π,3))) ,f(x)∈[1,2],所以b=2.
由- eq \f(π,2) +2kπ≤2x- eq \f(π,3) ≤ eq \f(π,2) +2kπ,k∈Z,
得- eq \f(π,12) +kπ≤x≤ eq \f(5π,12) +kπ,k∈Z.
又因为函数f(x)在[aπ,2π](a<2)上单调递增,
所以[aπ,2π]⊆ eq \b\lc\[\rc\](\a\vs4\al\c1(-\f(π,12)+2π,\f(5π,12)+2π)) ,
所以- eq \f(π,12) +2π≤aπ<2π,所以 eq \f(23,12) ≤a<2,
所以实数a的最小值是 eq \f(23,12) .
相关试卷
这是一份高中数学人教A版 (2019)必修 第一册5.6 函数 y=Asin( ωx + φ)课时作业,共8页。
这是一份高中5.6 函数 y=Asin( ωx + φ)同步练习题,共8页。
这是一份高中数学人教A版 (2019)必修 第一册5.6 函数 y=Asin( ωx + φ)课后测评,共7页。

