2022重庆市西南大学附中高三上学期开学考试化学试题含答案
展开
这是一份2022重庆市西南大学附中高三上学期开学考试化学试题含答案,共13页。试卷主要包含了选择题,非选择题等内容,欢迎下载使用。
可能用到的相对原子质量:H 1 C 12 O 16 P 31 S 32 Mn 55 Fe 56 Cu 64
一、选择题:本题共14小题,每小题3分,共42分。在每小题给出的四个选择中,只有一项是符合题目要求的。
化学与生产、生活、科技等密切相关。下列有关说法错误的是
A. 我国新疆等地盛产优质棉花,其主要成分为纤维素,可制布、纤维素硝酸酯等
B. 今年在四川省三星堆遗址考古中,出土了珍贵文物青铜立人、青铜神树,其硬度低于纯铜
C. 国产新冠灭活疫苗需冷冻保存以防发生变性
D. 大口径单体反射镜使用的碳化硅属于无机非金属材料
设NA为阿伏加德罗常数的值。下列说法正确的是
A.电解精炼铜时,当电路中通过的电子数为2NA时,阳极参与反应的Cu小于64 g
B.25℃,1 L 0.5 ml·L-1 NH4Cl溶液与2 L 0.25 ml·L-1 NH4Cl溶液含有NH4+数目相同
C.标准状况下,22.4 L CHCl3中含有的共用电子对数目为4NA
D.0.1 ml羟基与0.1 ml CH4含有的电子数目都为NA
下列有关表示正确的是
A.乙醚的结构简式:CH3-O-CH3B.H2O的比例模型:
C.SiF4的电子式:D.甘油的分子式:C3H8O3
下列实验操作或仪器选择正确的是
A.配制240 mL 0.1 ml·L-1 FeSO4溶液需要选择240 mL容量瓶
B.配制1 ml·L-1 H2SO4溶液,为了节省时间,可将浓硫酸直接注入容量瓶中
C.配制1 ml·L-1 AlCl3溶液时,将氯化铝晶体溶于适量浓盐酸中,加水稀释
D.移液时,玻璃棒下端紧靠容量瓶刻度线以上的位置
合成高分子材料的使用彻底改变了世界面貌,对于人类的生产生活方式产生了重要影响。下列说法正确的是
A.通过红外光谱法测定聚乙烯的平均相对分子质量可得其链节数
B. (聚碳酸酯)水解得到含苯环的分子中最多14个碳原子共面
C.导电塑料聚乙炔可以使溴的CCl4褪色
D.有机玻璃(聚甲基丙烯酸甲酯)可通过缩聚反应制得
科学家结合实验和计算机模拟结果,研究了在贵重金属催化剂表面上的气态体系中,一个CO分子还原NO的能量变化与反应历程如图所示。下列说法错误的是
A.使用催化剂,不能改变反应的焓变
B.决定整个反应速率快慢的是反应①
C.B物质比反应物和生成物都稳定
D.该反应的热化学方程式为2CO(g)+2NO(g)=N2(g)+2CO2(g) ∆H=(Ed-Ea) kJ·ml−1
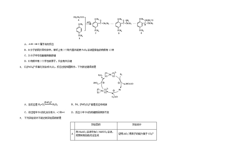
有机物可用于治疗大出血、创伤、外科手术引起的低血压,其部分合成路线如图所示。下列说法正确的是
A.属于消去反应
B.B分子的同分异构体中,苯环上有2个取代基并能使FeCl3溶液显紫色的物质有12种
C.D分子中存在醚键和酰胺键
D.E物质中有2个手性碳原子,只含有共价键
以[PdCl4]2−作催化剂合成H2O2,反应过程如图所示。下列叙述错误的是
A.总反应是H2+O2H2O2 B.Pd、[PdCl2O2]2−都是反应中间体
C.该过程中Pd的化合价有0、+2和+4 D.反应③中Pd的成键数目保持不变
下列实验设计不能达到实验目的的是
相对分子质量约为4000的聚乙二醇具有良好的水溶性,是一种缓泻剂。聚乙二醇可由环氧乙烷在酸性条件下聚合而成()。下列说法错误的是
A.环氧乙烷在酸性条件下先水解再发生缩聚反应制得聚乙二醇
B.聚乙二醇的结构简式为
C.相对分子质量约为4000的聚乙二醇的聚合度n≈67
D.聚乙二醇能保持肠道水分的原因是其可和H2O分子间形成氢键
苯甲酸异丙酯为无色油状液体,留香时间长,常用于香精,制备反应为:
实验小组用如图所示装置对苯甲酸异丙酯的制备进行探究。下列说法错误的是
A.适当增加的用量可提高苯甲酸的转化率
B.仪器b可用仪器c代替
C.实验后混合液经NaOH溶液、水洗涤后可获得粗品
D.分水器中水层高度不变时可停止加热a
一定温度下,向三个容积不等的恒容密闭容器(体积:a<b<c)中分别投入2 ml NOCl,发生反应:2NOCl(g)2NO(g)+ Cl2(g)。t min后,三个容器中NOCl的转化率如图中A、B、C三点。下列叙述正确的是
A.A点延长反应时间,可以提高NOCl的转化率
B.A、B两点的压强之比为25∶28
C.容积为c L的容器NOCl的平衡转化率小于80%
D.容积为a L的容器达到平衡后再投入1 ml NOCl、1 ml NO,平衡不移动
电化学脱硫在金属冶炼和废水处理中均有应用。一种电化学脱硫工作原理示意图如图所示。该装置工作时,下列说法错误的是
A.a为直流电源负极
B.导线中通过4.5 ml e-时阳极区溶液质量增加44 g
C.Mn2+和Mn3+之间的转化可提高脱硫效率
D.阴极区溶液pH无明显变化
常温下,向20 mL 0.1 ml·L-1 Na2CO3溶液中滴加0.1 ml·L-1 CaCl2溶液,CO32−浓度与CaCl2溶液体积的关系如图所示。已知:pC= −lg c(CO32−),Ksp(CdCO3)=1.0×10-12,Ksp(CaCO3)=3.6×10-9。下列说法正确的是
A.a点溶液:c(OH−) < 2c(HCO3−)+2c(H2CO3)
B.图像中V0=20,m=5
C.水的电离程度:a<b<n
D.若用CdCl2溶液替代CaCl2溶液,则n点向b点方向迁移
二、非选择题(本大题共4个小题,共58分)
(15分)本题有三种新技术处理空气污染物,请回答相关问题。
Ⅰ.NH3选择性催化还原NO(NH3−SCR)技术在燃煤电厂烟气脱硝过程中有着重要的应用。该方法主要反应的热化学方程式为4NH3(g) + 4NO(g) + O2(g)4N2(g) + 6H2O(g) ∆H
已知:2H2(g) + O2(g)2H2O(g) ∆H1 = −484 kJ·ml−1
N2(g) + 3H2(g)2NH3(g) ∆H2 = −92.4 kJ·ml−1
N2(g) + O2(g)2NO(g) ∆H3 = +180.5 kJ·ml−1
计算:4NH3(g) + 4NO(g) + O2(g)4N2(g) + 6H2O(g) ∆H=_______ kJ·ml−1。
利用NH3−SCR技术催化还原氮氧化物。反应原理如图1所示:
图1 图2
当NO2、NO与足量氨气在一定条件下发生反应,且参与反应的NO2和NO的物质的量之比为1∶1。若有2 ml NO参与反应,则整个过程中转移的电子数目为_______。
Ⅱ.CO可作为工业合成甲醇的直接碳源,利用CO和H2反应合成甲醇的原理为:CO(g) + 2H2(g)CH3OH(g),在密闭容器中按物质的量之比1∶2充入CO和H2,测得平衡混合物中CH3OH的体积分数在不同压强下随温度的变化情况如图2所示。
压强p2_______p1(填“>”、 “<”或“=”),判断的依据是 。
在C点时,CO的转化率为_______。
计算300℃,p1 kPa时的平衡常数Kp = (以分压表示,分压=总压×体积分数)。
Ⅲ.氮的氧化物脱除可以利用电化学原理处理,利用如下图装置可同时吸收SO2和NO。
直流电源的负极为___(填“a”或“b”),阴极的电极反应式 。该电解装置选择___(填“阳”或“阴”) 离子交换膜。
(12分)磷化铝(AlP)通常可作为一种广谱性熏蒸杀虫剂,吸水后会立即产生高毒的PH3气体(熔点为−132℃,还原性强)。某化学兴趣小组的同学通过下列方法对粮食中残留的磷化物含量进行了研究。
【操作流程】
安全吸收装置→PH3的产生与吸收→转移KMnO4吸收溶液→亚硫酸钠标准溶液滴定。
【实验装置】
已知:①B中盛有焦性没食子酸的碱性溶液,其作用是吸收空气中的O2,防止装置C中生成的PH3被氧化。
②C盛有100 g原粮,E有20.00 mL 1.50×10−3 ml·L-1 KMnO4溶液(H2SO4酸化)。
请回答下列问题:
仪器D的名称是_______。
A中盛装KMnO4溶液的作用是 。
已知标准状况下2.24 L PH3恰好被80 mL 2.0 ml·L-1 KMnO4溶液吸收,请写出该反应的化学方程式: ,其中PH3被氧化后的产物可与NaOH溶液反应生成正盐,请写出该正盐水溶液的电荷守恒关系式: 。
收集E中的吸收液,加水稀释至250 mL,取25.00 mL于锥形瓶中,用4.0×10−4 ml·L-1的Na2SO3标准溶液滴定剩余的KMnO4溶液,消耗Na2SO3标准溶液15.00 mL。
①如何判断到达了滴定终点? 。
②该滴定过程涉及的反应离子方程式为: 。
数据处理:该原粮中磷化物(以PH3计)的含量为______mg·kg−1。
(15分)MnSO4是一种重要的化工产品。以菱锰矿(主要成分为MnCO3,还含有Fe3O4、FeO、CO等)为原料制备MnSO4的工艺流程如图。
资料:金属离子形成氢氧化物沉淀的pH:
图1 图2
酸浸后所得溶液的金属阳离子包括Mn2+、C2+、 。
沉淀池1中,先加入MnO2充分反应后再加氨水,写出加MnO2时发生反应的离子方程式
。
沉淀池2中,不能用NaOH代替含硫沉淀剂,原因是 。
如图1为MnSO4和(NH4)2SO4的溶解度曲线。从“含MnSO4溶液”中提取“MnSO4晶体”的操作为 、 、洗涤干燥。
用惰性电极电解酸化后的MnSO4溶液可进一步获得MnO2,电解过程中阳极的电极反应式为 ;电解后的废水中还含有Mn2+,常用石灰乳进行一级沉降得到Mn(OH)2沉淀,过滤后再向滤液中加入适量Na2S,进行二级沉降。欲使溶液中c (Mn2+) ≤1.0×10-5 ml·L-1,则应保持溶液中c(S2−)最低为 ml·L-1(保留2位有效数字)。(已知常温下MnS的Ksp=1.0×10-11)
MnSO4·H2O样品受热分解过程的热重曲线(样品质量随温度变化曲线)如图2所示。
a点时固体物质的化学式为:_____________。
1150℃时,发生反应的化学方程式为: 。
(16分)新型冠状病毒引起了全世界的关注。中间体K是合成该药Remdesivir的关键物质,由A合成中间体K的路线如图:
已知:Ⅰ.
Ⅱ.
化合物B的名称为 。
I中含有的官能团名称为 。
C到D的反应类型为 。
若E中含有两个Cl原子,则E的结构简式为 。
G与足量新制银氨溶液反应的化学方程式为 。
由I生成J的化学方程式为 。
X是C的同分异构体,满足下列条件的X的结构简式共有 种;其中核磁共振氢谱有4组峰,峰面积之比为2∶2∶2∶1的结构简式为 。
①苯环上有3个取代基;
②能发生银镜反应;
③能发生水解反应,且1 ml X水解消耗4 ml NaOH。
参考答案
一、选择题(42分)
1-5 BADCC 6-10 DBCDC 11-14 CDBA
二、填空题(58分)
15.(15分)
(1)-1628.2(2分)
(2)12NA(2分)
(3) Ksp(AgI)
金属离子
Fe3+
Fe2+
C2+
Mn2+
开始沉淀
1.5
6.3
7.4
7.6
完全沉淀
2.8
8.3
9.4
10.2
相关试卷
这是一份2022济南山师大附中高三上学期开学考试化学试题含解析,文件包含山东省济南市山师大附中2021-2022学年高三上学期开学考试化学试题解析版docx、山东省济南市山师大附中2021-2022学年高三上学期开学考试化学试题docx等2份试卷配套教学资源,其中试卷共31页, 欢迎下载使用。
这是一份2022省哈尔滨师大附中高二上学期开学考试化学试题含答案,共14页。试卷主要包含了选择题,填空题,实验题,化学反应原理综合题等内容,欢迎下载使用。
这是一份2022重庆市西南大学附中高二上学期开学考试化学试题PDF版含答案,共5页。

