


还剩10页未读,
继续阅读
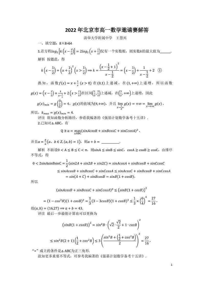
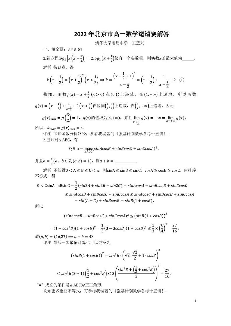
2022年北京高一数学邀请赛解答
展开
这是一份2022年北京高一数学邀请赛解答,共13页。
相关试卷
北京市各区2022-2023学年高一上学期数学期末练习分类汇编-05函数(解答题):
这是一份北京市各区2022-2023学年高一上学期数学期末练习分类汇编-05函数(解答题),共14页。试卷主要包含了已知函数其中,.,已知函数是定义在R上的奇函数.,之间的函数关系式为.,已知函数,已知函数的图象如图所示等内容,欢迎下载使用。
高考数学北京卷3年(2021-2023)真题分类汇编-解答题②:
这是一份高考数学北京卷3年(2021-2023)真题分类汇编-解答题②,共18页。试卷主要包含了解答题等内容,欢迎下载使用。
高考数学北京卷3年(2021-2023)真题分类汇编-解答题①:
这是一份高考数学北京卷3年(2021-2023)真题分类汇编-解答题①,共15页。试卷主要包含了解答题等内容,欢迎下载使用。