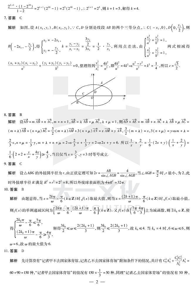
合肥六中2022高考考前诊断暨预测文理科数学试卷及参考答案
展开九师联盟高三考前押题卷(老教材)文理科数学试卷及参考答案: 这是一份九师联盟高三考前押题卷(老教材)文理科数学试卷及参考答案,文件包含九师联盟数学理答案-考前押题卷老教材pdf、九师联盟高三考前押题卷老教材文科数学参考答案pdf、九师联盟文科老高考pdf、九师联盟高三考前押题卷老教材文科数学试卷pdf、九师联盟高三考前押题卷老教材理科数学试卷pdf等5份试卷配套教学资源,其中试卷共24页, 欢迎下载使用。
华大新高考联盟高考考前预测卷数学试卷及参考答案: 这是一份华大新高考联盟高考考前预测卷数学试卷及参考答案,文件包含华大新高考联盟--数学答案pdf、华大新高考联盟--数学1pdf等2份试卷配套教学资源,其中试卷共9页, 欢迎下载使用。
2023贵阳市高三模拟文理科数学试卷及参考答案: 这是一份2023贵阳市高三模拟文理科数学试卷及参考答案,文件包含2023贵阳市文科数学答pdf、2023贵阳市文科数学试卷pdf、2023贵阳市理科数学答案pdf等3份试卷配套教学资源,其中试卷共18页, 欢迎下载使用。

