资料中包含下列文件,点击文件名可预览资料内容
还剩20页未读,
继续阅读
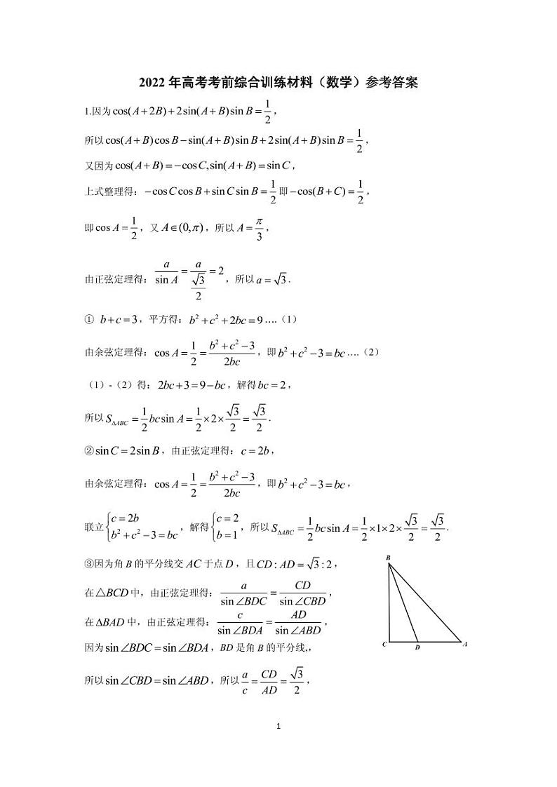
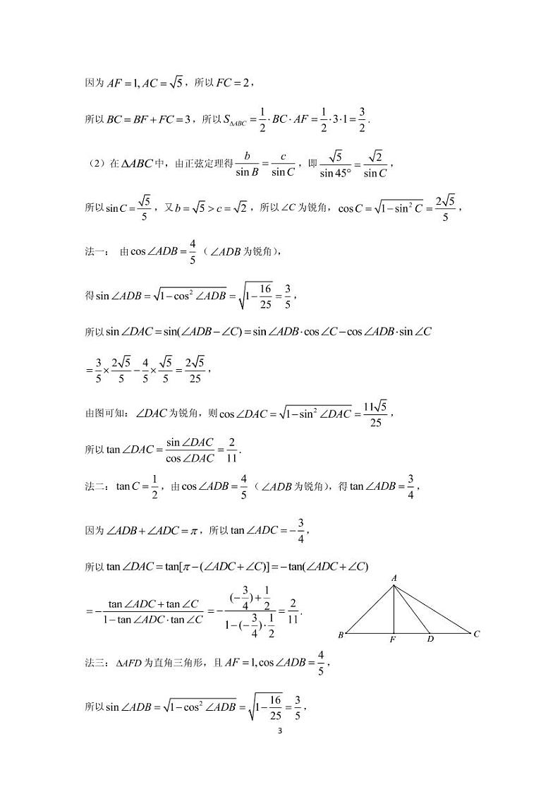
2022年广州市高考备考数学学科综合训练材料(题目)及参考答案
展开
这是一份2022年广州市高考备考数学学科综合训练材料(题目)及参考答案,文件包含2022年广州市高考备考数学学科综合训练材料参考答案pdf、2022年广州市高考备考数学学科综合训练材料题目pdf等2份试卷配套教学资源,其中试卷共30页, 欢迎下载使用。
相关试卷
备考2024届高考数学一轮复习强化训练第五章数列第5讲数列的综合应用:
这是一份备考2024届高考数学一轮复习强化训练第五章数列第5讲数列的综合应用,共3页。
高考数学二轮专题——等差数列综合训练及参考答案:
这是一份高考数学二轮专题——等差数列综合训练及参考答案,文件包含等差数列综合训练答案pdf、等差数列综合训练pdf等2份试卷配套教学资源,其中试卷共24页, 欢迎下载使用。
广州市2021届高三年级阶段训练数学参考答案及评分标准:
这是一份广州市2021届高三年级阶段训练数学参考答案及评分标准,共9页。

