资料中包含下列文件,点击文件名可预览资料内容




还剩2页未读,
继续阅读
湖北省部分重点中学2022届高三下学期4月联考数学试题及参考答案
展开
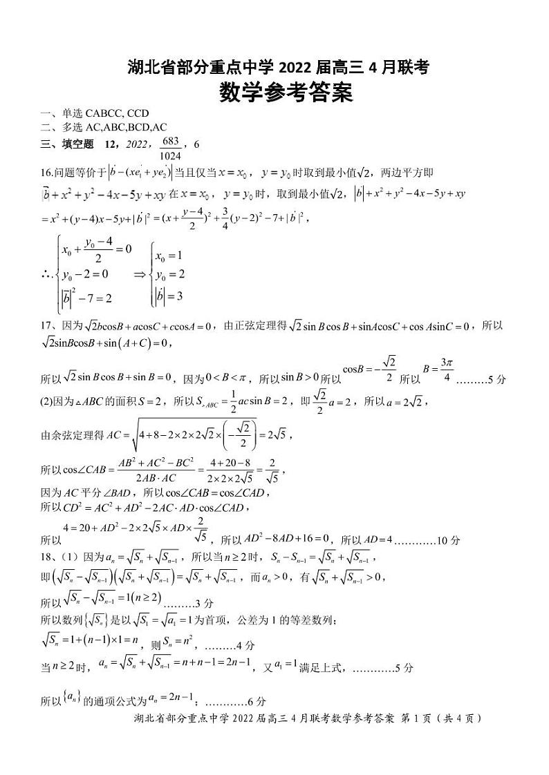
这是一份湖北省部分重点中学2022届高三下学期4月联考数学试题及参考答案,文件包含湖北省部分重点中学2022届高三4月联考数学答案pdf、湖北省部分重点中学2022届高三4月联考数学试题pdf等2份试卷配套教学资源,其中试卷共8页, 欢迎下载使用。
相关试卷
湖北省部分重点中学2024届高三第二次联考数学试题及参考答案:
这是一份湖北省部分重点中学2024届高三第二次联考数学试题及参考答案,文件包含湖北省部分重点中学2024届高三第二次联考数学试题pdf、湖北省部分重点中学2024届高三第二次联考数学答案1pdf等2份试卷配套教学资源,其中试卷共8页, 欢迎下载使用。
湖北省部分重点中学第一次联考2024届高三数学试题及参考答案:
这是一份湖北省部分重点中学第一次联考2024届高三数学试题及参考答案,文件包含湖北省部分重点中学第一次联考2024届高三数学试题pdf、湖北省部分重点中学第一次联考2024届高三数学答案pdf等2份试卷配套教学资源,其中试卷共11页, 欢迎下载使用。
湖北省部分重点中学2024届高三第一次联考数学试题及参考答案:
这是一份湖北省部分重点中学2024届高三第一次联考数学试题及参考答案,文件包含湖北省部分重点中学2024届高三第一次联考高三数学参考答案pdf、湖北省部分重点中学2024届高三第一次联考数学试题pdf等2份试卷配套教学资源,其中试卷共11页, 欢迎下载使用。