资料中包含下列文件,点击文件名可预览资料内容




还剩8页未读,
继续阅读
2022 年广东省新高考普通高中联合质量测评高三冲刺模拟考试数学试卷及参考答案
展开
这是一份2022 年广东省新高考普通高中联合质量测评高三冲刺模拟考试数学试卷及参考答案,文件包含2022年广东省新高考普通高中联合质量测评高三冲刺模拟考试参考答案pdf、2022年广东省新高考普通高中联合质量测评高三冲刺模拟考试数学试卷pdf等2份试卷配套教学资源,其中试卷共13页, 欢迎下载使用。
相关试卷
广东省新高考普通高中2022届高三冲刺模拟考试数学试卷(PDF版):
这是一份广东省新高考普通高中2022届高三冲刺模拟考试数学试卷(PDF版),共15页。
2021广东省新高考普通高中联合质量测评新高三省级摸底考试数学含解析:
这是一份2021广东省新高考普通高中联合质量测评新高三省级摸底考试数学含解析,共11页。试卷主要包含了选择题的作答,填空题和解答题的作答,考试结束后,过点P的两条直线与抛物线C等内容,欢迎下载使用。
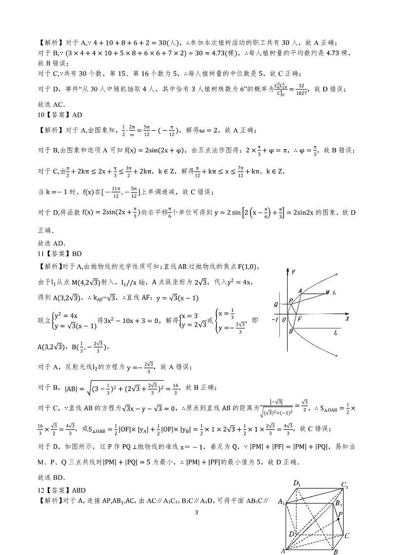
2022届广东省新高考普通高中联合质量测评高三冲刺模拟考试数学试卷(PDF版):
这是一份2022届广东省新高考普通高中联合质量测评高三冲刺模拟考试数学试卷(PDF版),共20页。