初中22.1.1 二次函数评课课件ppt
展开中考数学专项复习课件 《二次函数存在性问题解析》: 这是一份中考数学专项复习课件 《二次函数存在性问题解析》,共18页。PPT课件主要包含了等腰三角形存在性问题,直角三角形存在性问题,平行四边形存在性问题,菱形存在性问题,直角梯形存在性问题等内容,欢迎下载使用。
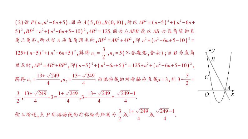
中考总复习数学 专题 8 二次函数中的存在性问题课件: 这是一份中考总复习数学 专题 8 二次函数中的存在性问题课件,共60页。PPT课件主要包含了专题解析,典型例析,·1·,强化训练,·2·,·3·,·4·,·17·,·26·,·22·等内容,欢迎下载使用。
数学九年级上册22.1.1 二次函数备课课件ppt: 这是一份数学九年级上册22.1.1 二次函数备课课件ppt,共19页。

