资料中包含下列文件,点击文件名可预览资料内容




还剩2页未读,
继续阅读
2021湘鄂冀三省来凤县高级中学等七校高一上学期期中联考数学试题PDF版含答案
展开
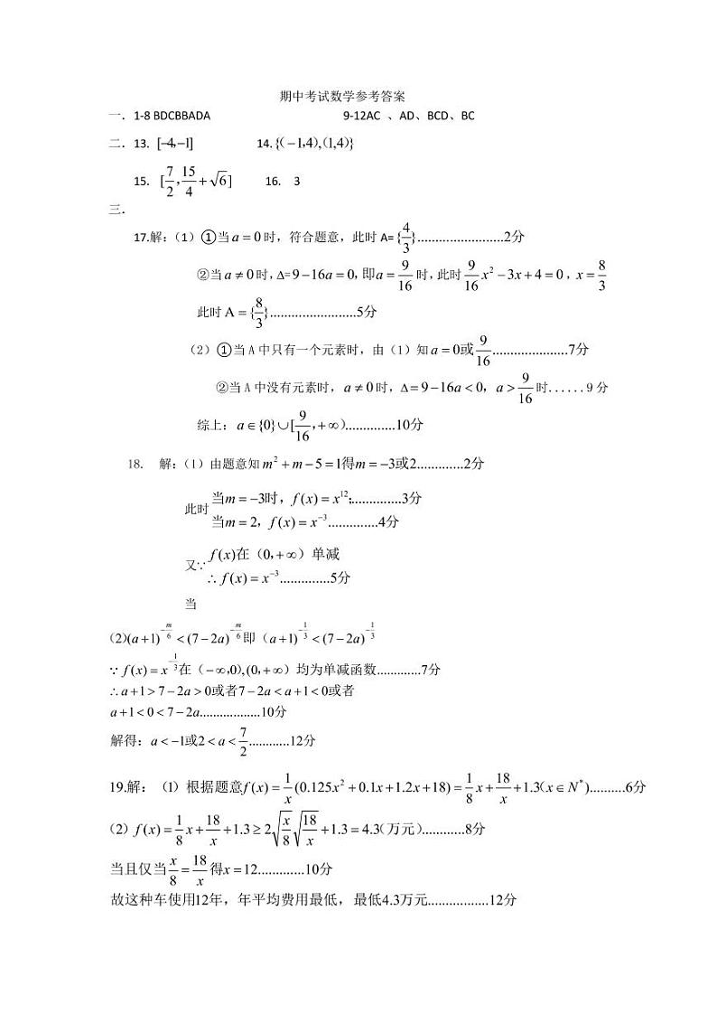
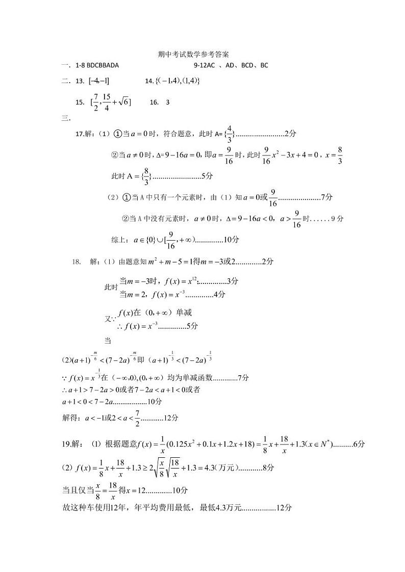
这是一份2021湘鄂冀三省来凤县高级中学等七校高一上学期期中联考数学试题PDF版含答案,文件包含湘鄂冀三省来凤县高级中学等七校2020-2021学年高一上学期期中联考数学试题答案pdf、湘鄂冀三省来凤县高级中学等七校2020-2021学年高一上学期期中联考数学试题PDF可编辑pdf等2份试卷配套教学资源,其中试卷共8页, 欢迎下载使用。
相关试卷
2022-2023学年湘鄂冀三省七校高一上学期10月联考数学试题 PDF版:
这是一份2022-2023学年湘鄂冀三省七校高一上学期10月联考数学试题 PDF版,文件包含数学试题pdf、数学答案pdf等2份试卷配套教学资源,其中试卷共7页, 欢迎下载使用。
2023湘鄂冀三省七校高一上学期10月联考试题数学PDF版含答案:
这是一份2023湘鄂冀三省七校高一上学期10月联考试题数学PDF版含答案,文件包含数学试题pdf、数学答案pdf等2份试卷配套教学资源,其中试卷共7页, 欢迎下载使用。
湘鄂冀三省七校2022-2023学年高一上学期10月联考数学试卷(PDF版):
这是一份湘鄂冀三省七校2022-2023学年高一上学期10月联考数学试卷(PDF版),共7页。