资料中包含下列文件,点击文件名可预览资料内容
还剩2页未读,
继续阅读
2021温州十校联合体高一下学期期中联考数学试题扫描版含答案
展开
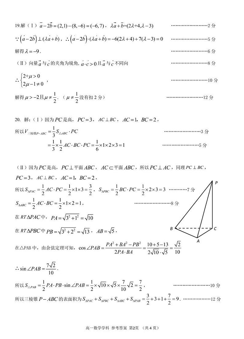
这是一份2021温州十校联合体高一下学期期中联考数学试题扫描版含答案,文件包含浙江省温州十校联合体2020-2021学年高一下学期期中联考数学试题图片版doc、高一数学答案pdf等2份试卷配套教学资源,其中试卷共8页, 欢迎下载使用。
相关试卷
浙江省温州十校联合体2022-2023学年高一下学期期中联考数学试题(学生版+解析):
这是一份浙江省温州十校联合体2022-2023学年高一下学期期中联考数学试题(学生版+解析),共24页。试卷主要包含了考试结束后,只需上交答题纸, 已知,,,则, 下列各式的值为1的是等内容,欢迎下载使用。
浙江温州十校联合体2023-2024学年高一上学期期中联考数学试题(含答案):
这是一份浙江温州十校联合体2023-2024学年高一上学期期中联考数学试题(含答案),共8页。
浙江省温州十校联合体2022-2023学年高一下学期期中联考数学试题:
这是一份浙江省温州十校联合体2022-2023学年高一下学期期中联考数学试题,文件包含高一数学试题doc、高一数学参考答案pdf等2份试卷配套教学资源,其中试卷共10页, 欢迎下载使用。

